🇳🇴 🇬🇧 🇩🇪 🇨🇿 🇫🇮

Meteor, poloha: VĂĄler 2025-03-22 22:20:25 UTC

Soubor KML  |  InteraktivnĂ­ mapa

Mapa zobrazuje dráhy meteoru. Světlejší čáry ukazují směry od pozorovacích stanic při objevení se meteoru a tmavší čáry, kde byl naposledy viděn. Modrá šipka značí viditelnou dráhu meteoru.

static map
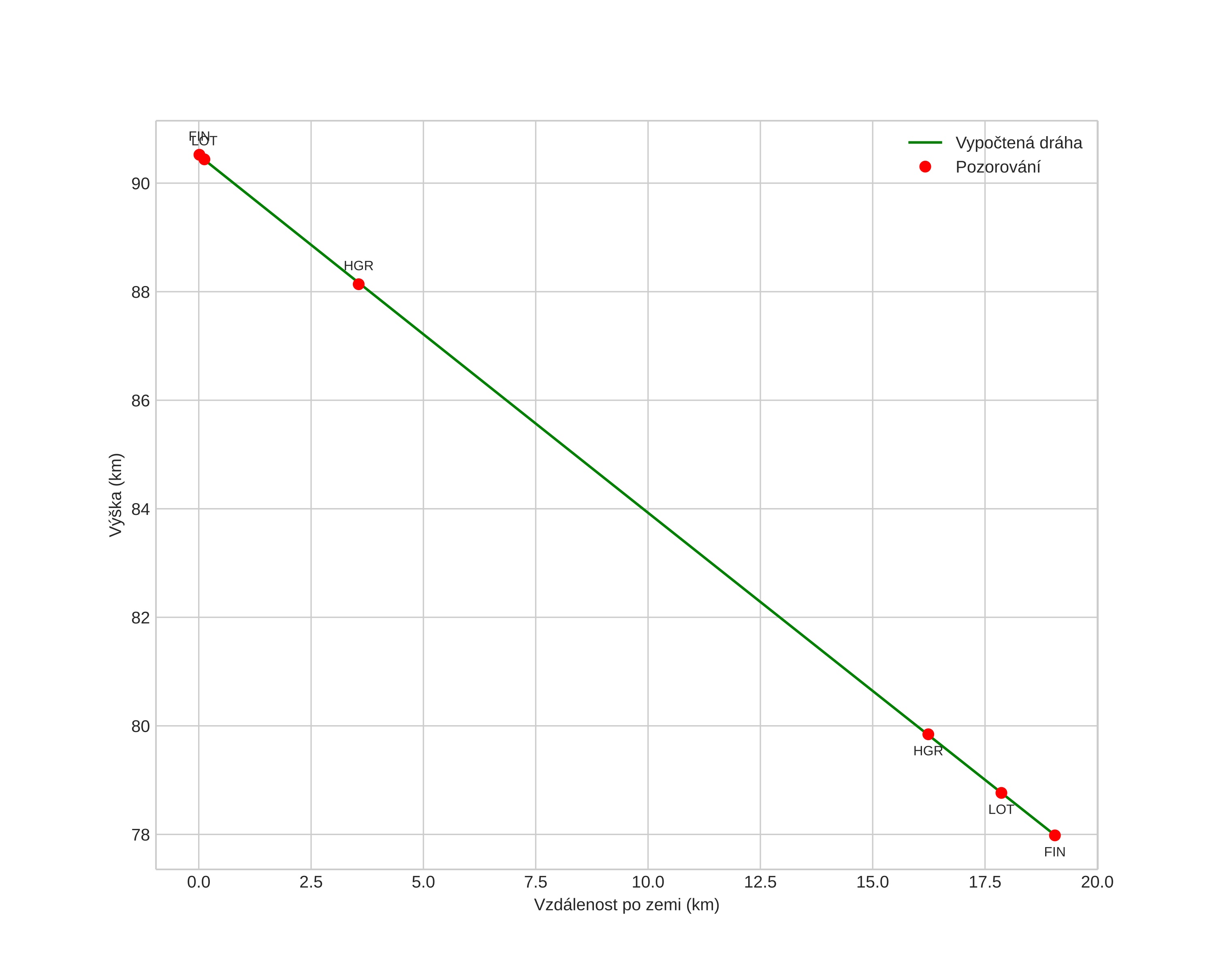
height profile
Atmosférická dráha meteoru:
Počáteční výška: 90,4 km
Konečná výška: 78,0 km
Počáteční poloha: 60,560N 11,613E
Konečná poloha: 60,726N 11,685E
Směr: 12,0°
Sklon: 33,2°
VstupnĂ­ rychlost: 18,5 km/s
Rektascenze radiantu: 10:21 (155,5°)
Deklinace radiantu: -2,4°
MeteorickĂ˝ roj: sporadickĂ˝
Elementy dráhy meteoroidu:
Vzdálenost v periheliu: 0,858 AU
Excentricita: 0,684
Sklon dráhy: 4,8°
Délka vzestupného uzlu: 182,2°
Argument perihelia: 48,9°
Střední anomálie: 352,6°
Epocha: 2025 MAR 22 22:20:25
orbit plot

NeinteraktivnĂ­ graf | InteraktivnĂ­ graf

position vs time
speed and acceleration