🇳🇴 🇬🇧 🇩🇪 🇨🇿 🇫🇮

Meteor, poloha: SkĂĄlevik 2025-03-23 03:08:15 UTC

Soubor KML

Mapa zobrazuje dráhy meteoru. Světlejší čáry ukazují směry od pozorovacích stanic při objevení se meteoru a tmavší čáry, kde byl naposledy viděn. Modrá šipka značí viditelnou dráhu meteoru.

static map
height profile
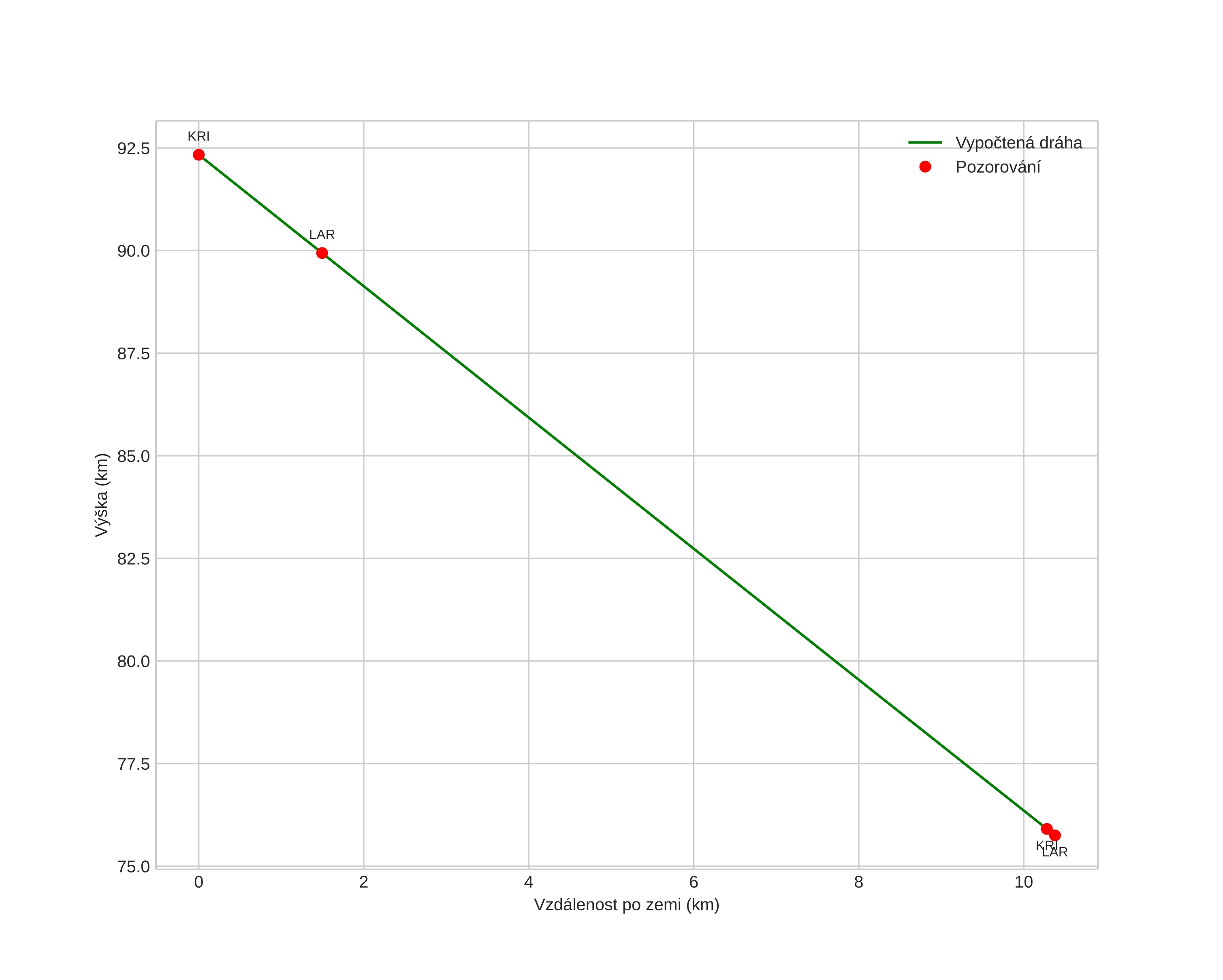
Atmosférická dráha meteoru:
Počáteční výška: 92,3 km
Konečná výška: 75,8 km
Počáteční poloha: 57,909N 8,088E
Konečná poloha: 57,829N 8,180E
Směr: 148,5°
Sklon: 57,8°
VstupnĂ­ rychlost: 19,5 km/s
Rektascenze radiantu: 09:53 (148,4°)
Deklinace radiantu: 71,7°
MeteorickĂ˝ roj: sporadickĂ˝
Elementy dráhy meteoroidu:
Vzdálenost v periheliu: 0,989 AU
Excentricita: 0,873
Sklon dráhy: 18,6°
Délka vzestupného uzlu: 2,4°
Argument perihelia: 190,4°
Střední anomálie: 359,7°
Epocha: 2025 MAR 23 03:08:15
orbit plot

NeinteraktivnĂ­ graf

position vs time
speed and acceleration