🇳🇴 🇬🇧 🇩🇪 🇨🇿 🇫🇮

Meteor Storsteinnesin yllä 2025-03-23 21:33:05 UTC

KML-tiedosto  |  Interaktiivinen kartta

Kartta näyttää meteorin suuntahavainnot. Vaaleammat viivat näyttävät suunnat havaintoasemilta meteorin ilmestyessä, ja tummemmat viivat näyttävät, missä se viimeksi nähtiin. Sininen nuoli näyttää meteorin näkyvän lennon.

static map
height profile
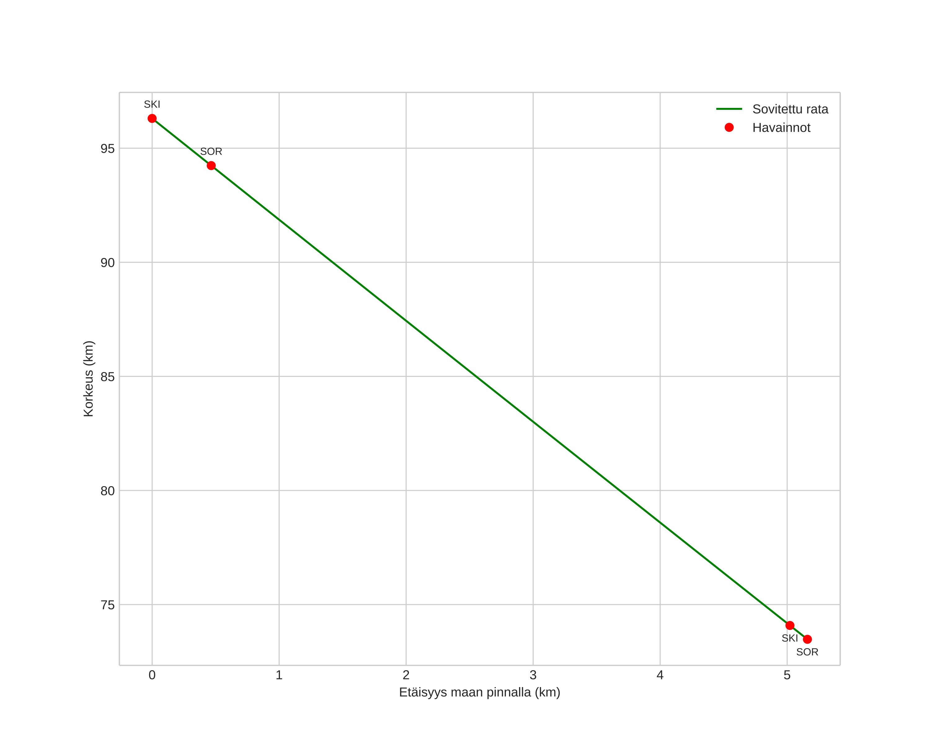
Meteorin ilmakehärata:
Alkukorkeus: 96,3 km
Loppukorkeus: 73,7 km
Alkupiste: 68,812N 19,716E
Loppupiste: 68,816N 19,591E
Suunta: 275,7°
Kallistuskulma: 77,4°
Tulonopeus: 25,8 km/s
Radiantin R,A,: 12:59 (194,8°)
Radiantin Dekl,: 64,3°
Meteoriparvi: Sporadinen
Meteoroidin rataelementit:
Perihelietäisyys: 0,954 AU
Eksentrisyys: 1,038
Inklinaatio: 29,1°
Nousevan solmun pituus: 3,2°
Perihelin argumentti: 203,8°
Keskianomalia: -0,1°
Epookki: 2025 MAR 23 21:33:05
orbit plot

Ei-interaktiivinen kuvaaja | Interaktiivinen kuvaaja

position vs time
speed and acceleration