🇳🇴 🇬🇧 🇩🇪 🇨🇿 🇫🇮

Meteor, poloha: Storslett 2025-03-23 21:36:36 UTC

Soubor KML  |  InteraktivnĂ­ mapa

Mapa zobrazuje dráhy meteoru. Světlejší čáry ukazují směry od pozorovacích stanic při objevení se meteoru a tmavší čáry, kde byl naposledy viděn. Modrá šipka značí viditelnou dráhu meteoru.

static map
height profile
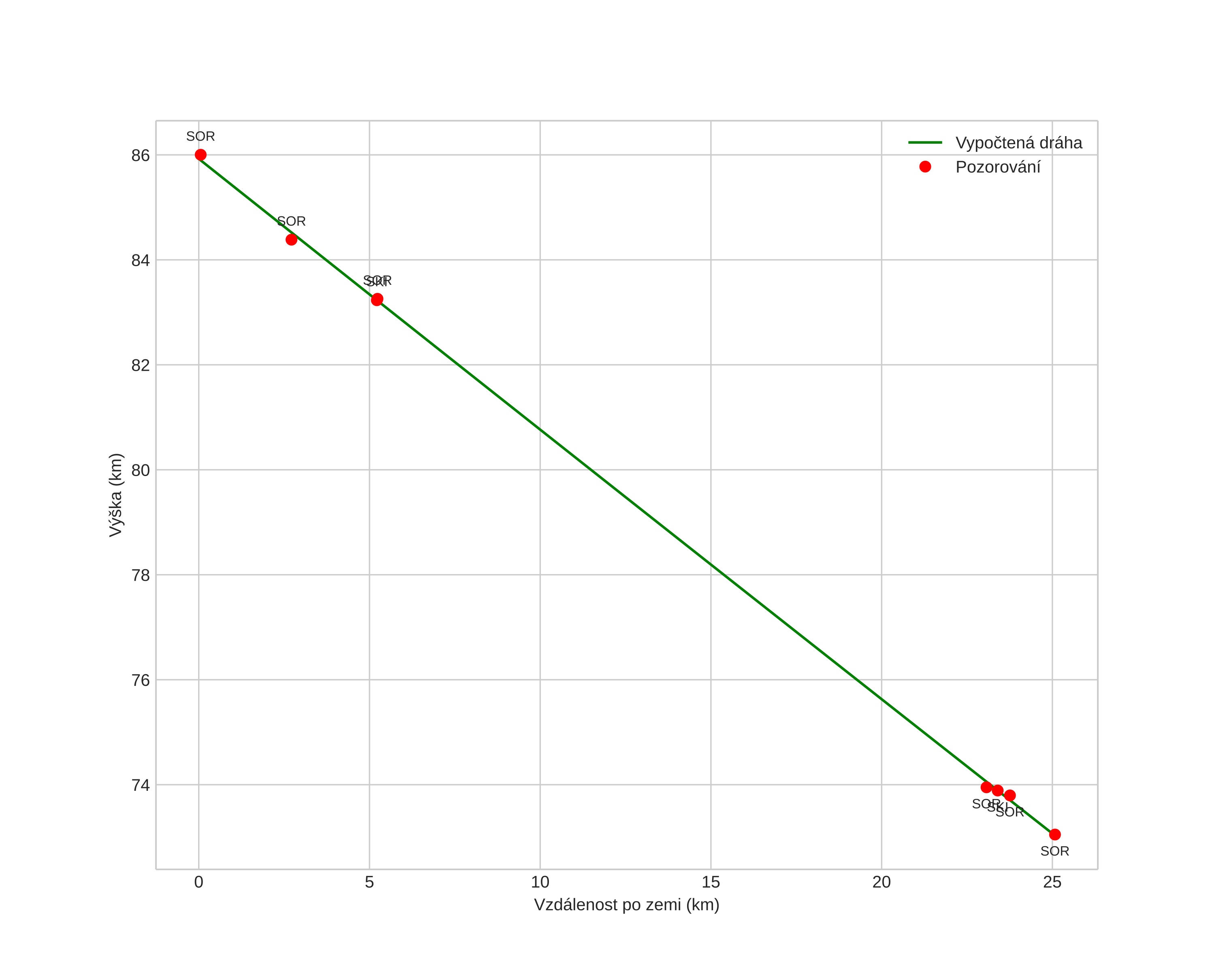
Atmosférická dráha meteoru:
Počáteční výška: 85,9 km
Konečná výška: 73,3 km
Počáteční poloha: 69,345N 21,583E
Konečná poloha: 69,552N 21,370E
Směr: 340,3°
Sklon: 27,2°
VstupnĂ­ rychlost: 25,7 km/s
Rektascenze radiantu: 12:18 (184,7°)
Deklinace radiantu: 4,2°
MeteorickĂ˝ roj: sporadickĂ˝
Elementy dráhy meteoroidu:
Vzdálenost v periheliu: 0,579 AU
Excentricita: 0,763
Sklon dráhy: 4,3°
Délka vzestupného uzlu: 3,2°
Argument perihelia: 268,2°
Střední anomálie: 348,4°
Epocha: 2025 MAR 23 21:36:36
orbit plot

NeinteraktivnĂ­ graf | InteraktivnĂ­ graf

position vs time
speed and acceleration