🇳🇴 🇬🇧 🇩🇪 🇨🇿 🇫🇮

Meteor, poloha: Mora 2025-03-24 00:50:22 UTC

Soubor KML  |  InteraktivnĂ­ mapa

Mapa zobrazuje dráhy meteoru. Světlejší čáry ukazují směry od pozorovacích stanic při objevení se meteoru a tmavší čáry, kde byl naposledy viděn. Modrá šipka značí viditelnou dráhu meteoru.

static map
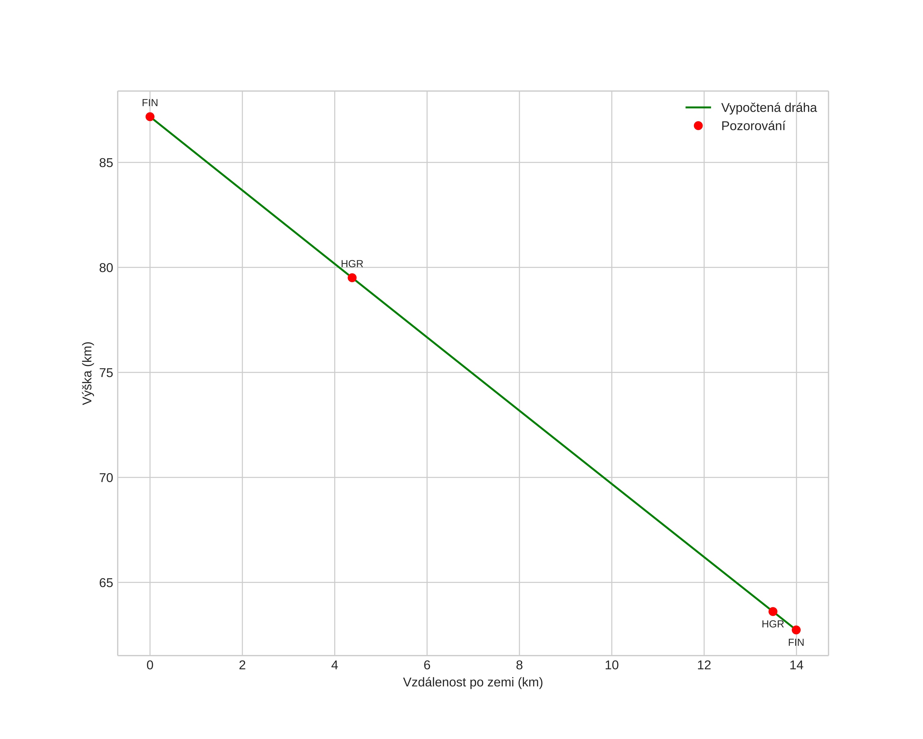
height profile
Atmosférická dráha meteoru:
Počáteční výška: 87,0 km
Konečná výška: 62,7 km
Počáteční poloha: 61,007N 14,333E
Konečná poloha: 61,062N 14,570E
Směr: 64,2°
Sklon: 59,8°
VstupnĂ­ rychlost: 19,2 km/s
Rektascenze radiantu: 11:15 (168,8°)
Deklinace radiantu: 37,7°
MeteorickĂ˝ roj: sporadickĂ˝
Elementy dráhy meteoroidu:
Vzdálenost v periheliu: 0,898 AU
Excentricita: 0,755
Sklon dráhy: 12,2°
Délka vzestupného uzlu: 3,3°
Argument perihelia: 219,7°
Střední anomálie: 356,1°
Epocha: 2025 MAR 24 00:50:22
orbit plot

NeinteraktivnĂ­ graf | InteraktivnĂ­ graf

position vs time
speed and acceleration