🇳🇴 🇬🇧 🇩🇪 🇨🇿 🇫🇮

Meteor, poloha: Aursmoen 2025-03-24 02:27:45 UTC

Soubor KML  |  InteraktivnĂ­ mapa

Mapa zobrazuje dráhy meteoru. Světlejší čáry ukazují směry od pozorovacích stanic při objevení se meteoru a tmavší čáry, kde byl naposledy viděn. Modrá šipka značí viditelnou dráhu meteoru.

static map
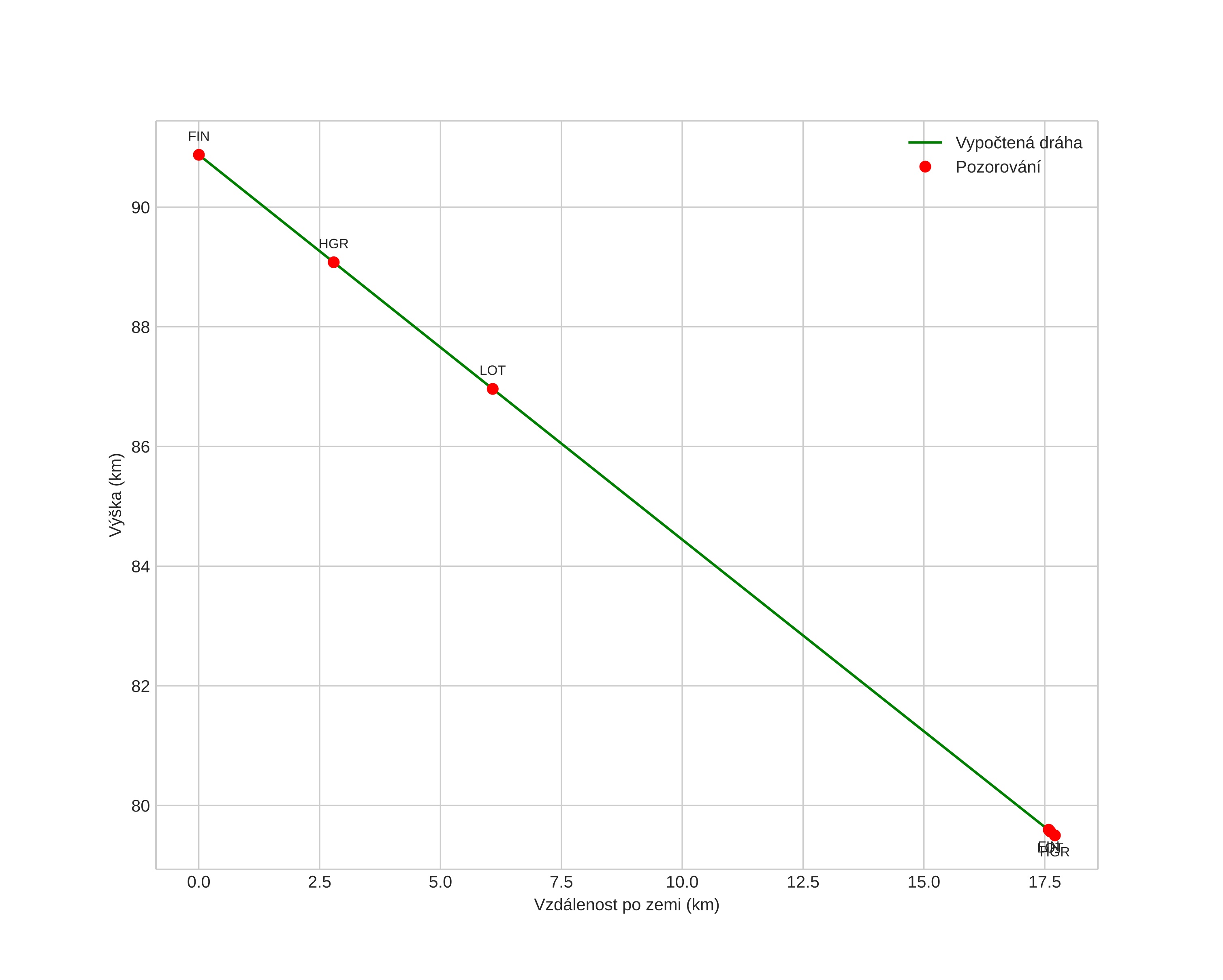
height profile
Atmosférická dráha meteoru:
Počáteční výška: 91,1 km
Konečná výška: 79,4 km
Počáteční poloha: 60,100N 11,392E
Konečná poloha: 59,941N 11,389E
Směr: 180,6°
Sklon: 33,5°
VstupnĂ­ rychlost: 17,3 km/s
Rektascenze radiantu: 03:20 (50,1°)
Deklinace radiantu: 55,1°
MeteorickĂ˝ roj: sporadickĂ˝
Elementy dráhy meteoroidu:
Vzdálenost v periheliu: 0,974 AU
Excentricita: 0,836
Sklon dráhy: 11,0°
Délka vzestupného uzlu: 3,4°
Argument perihelia: 161,5°
Střední anomálie: 0,9°
Epocha: 2025 MAR 24 02:27:45
orbit plot

NeinteraktivnĂ­ graf | InteraktivnĂ­ graf

position vs time
speed and acceleration