🇳🇴 🇬🇧 🇩🇪 🇨🇿 🇫🇮

Meteor über Hønefoss 2025-03-24 03:29:13 UTC

KML-Datei  |  Interaktive Karte

Die Karte zeigt die Peilungen für den Meteor. Die helleren Linien zeigen die Richtungen von den Beobachtungsorten beim Erscheinen des Meteors, und die dunkleren Linien, wo er zuletzt gesehen wurde. Der blaue Pfeil zeigt die sichtbare Bahn des Meteors.

static map
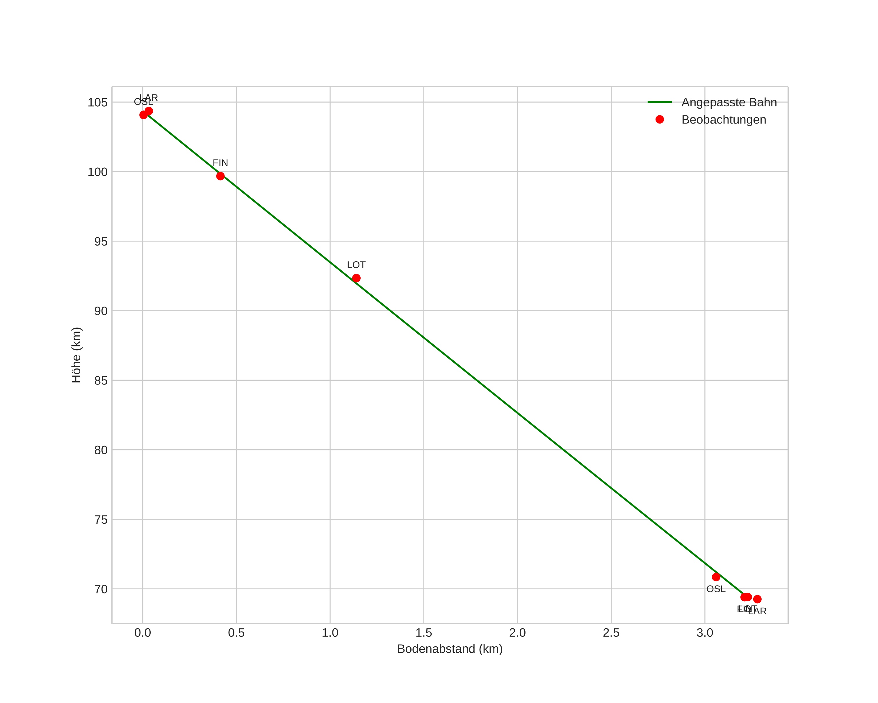
height profile
Atmosphärische Bahn des Meteors:
Anfangshöhe: 105,3 km
Endhöhe: 69,5 km
Startposition: 60,386N 10,100E
Endposition: 60,394N 10,157E
Richtung: 75,5°
Neigungswinkel: 84,9°
Eintrittsgeschwindigkeit: 33,5 km/s
Rektaszension des Radianten: 15:33 (233,4°)
Deklination des Radianten: 58,5°
Meteorstrom: sporadisch
Bahnelemente des Meteoroiden:
Periheldistanz: 0,950 AU
Exzentrizität: 1,058
Inklination: 46,0°
Länge des aufsteigenden Knotens: 3,4°
Argument des Perihels: 204,7°
Mittlere Anomalie: -0,2°
Epoche: 2025 MAR 24 03:29:13
orbit plot

Nicht-interaktives Diagramm | Interaktives Diagramm

position vs time
speed and acceleration

Loten (LOT) cam4


gnomonic
Videos
• Gnomonisch
• Gnomonisch mit Koordinaten
• Original
• Original mit Koordinaten
Bilder
• Gnomonisch
• Gnomonisch mit Koordinaten
• Gnomonisch mit Beschriftungen
• Original
• Original mit Koordinaten
Textdateien
• Erkennung
• Beobachtung
• Koordinaten
• Protokoll
Helligkeit