🇳🇴 🇬🇧 🇩🇪 🇨🇿 🇫🇮

Meteor, poloha: Storsteinnes 2025-03-25 20:05:18 UTC

Soubor KML  |  InteraktivnĂ­ mapa

Mapa zobrazuje dráhy meteoru. Světlejší čáry ukazují směry od pozorovacích stanic při objevení se meteoru a tmavší čáry, kde byl naposledy viděn. Modrá šipka značí viditelnou dráhu meteoru.

static map
height profile
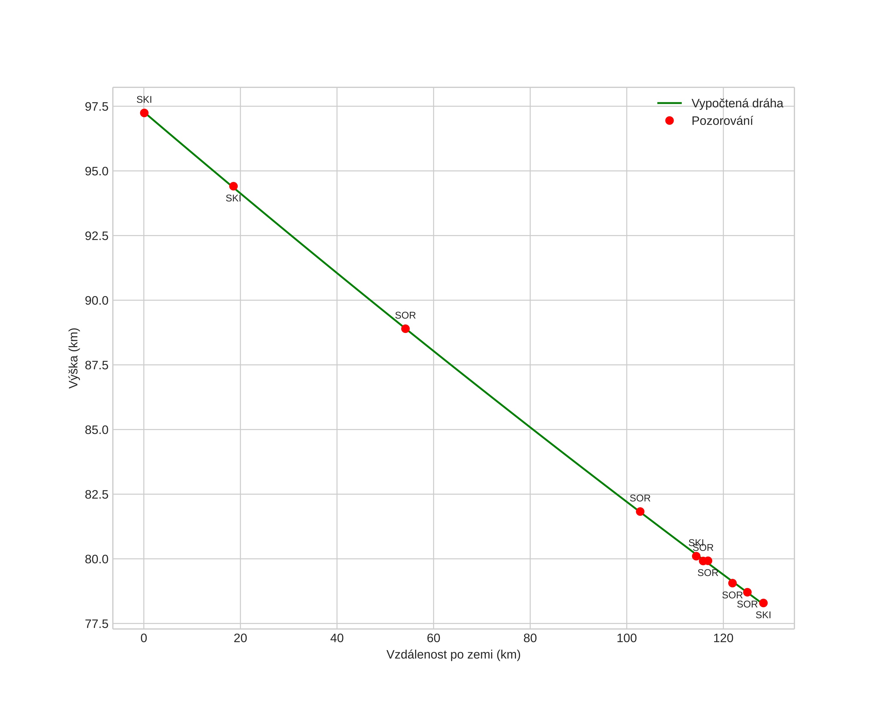
Atmosférická dráha meteoru:
Počáteční výška: 98,2 km
Konečná výška: 78,5 km
Počáteční poloha: 68,345N 17,782E
Konečná poloha: 69,388N 19,528E
Směr: 30,3°
Sklon: 8,3°
VstupnĂ­ rychlost: 15,6 km/s
Rektascenze radiantu: 07:10 (107,6°)
Deklinace radiantu: -26,8°
MeteorickĂ˝ roj: sporadickĂ˝
Elementy dráhy meteoroidu:
Vzdálenost v periheliu: 0,994 AU
Excentricita: 0,607
Sklon dráhy: 12,8°
Délka vzestupného uzlu: 185,1°
Argument perihelia: 7,7°
Střední anomálie: 358,5°
Epocha: 2025 MAR 25 20:05:18
orbit plot

NeinteraktivnĂ­ graf | InteraktivnĂ­ graf

position vs time
speed and acceleration