🇳🇴 🇬🇧 🇩🇪 🇨🇿 🇫🇮

Meteor Arendalin yllä 2025-03-26 02:48:44 UTC

KML-tiedosto  |  Interaktiivinen kartta

Kartta näyttää meteorin suuntahavainnot. Vaaleammat viivat näyttävät suunnat havaintoasemilta meteorin ilmestyessä, ja tummemmat viivat näyttävät, missä se viimeksi nähtiin. Sininen nuoli näyttää meteorin näkyvän lennon.

static map
height profile
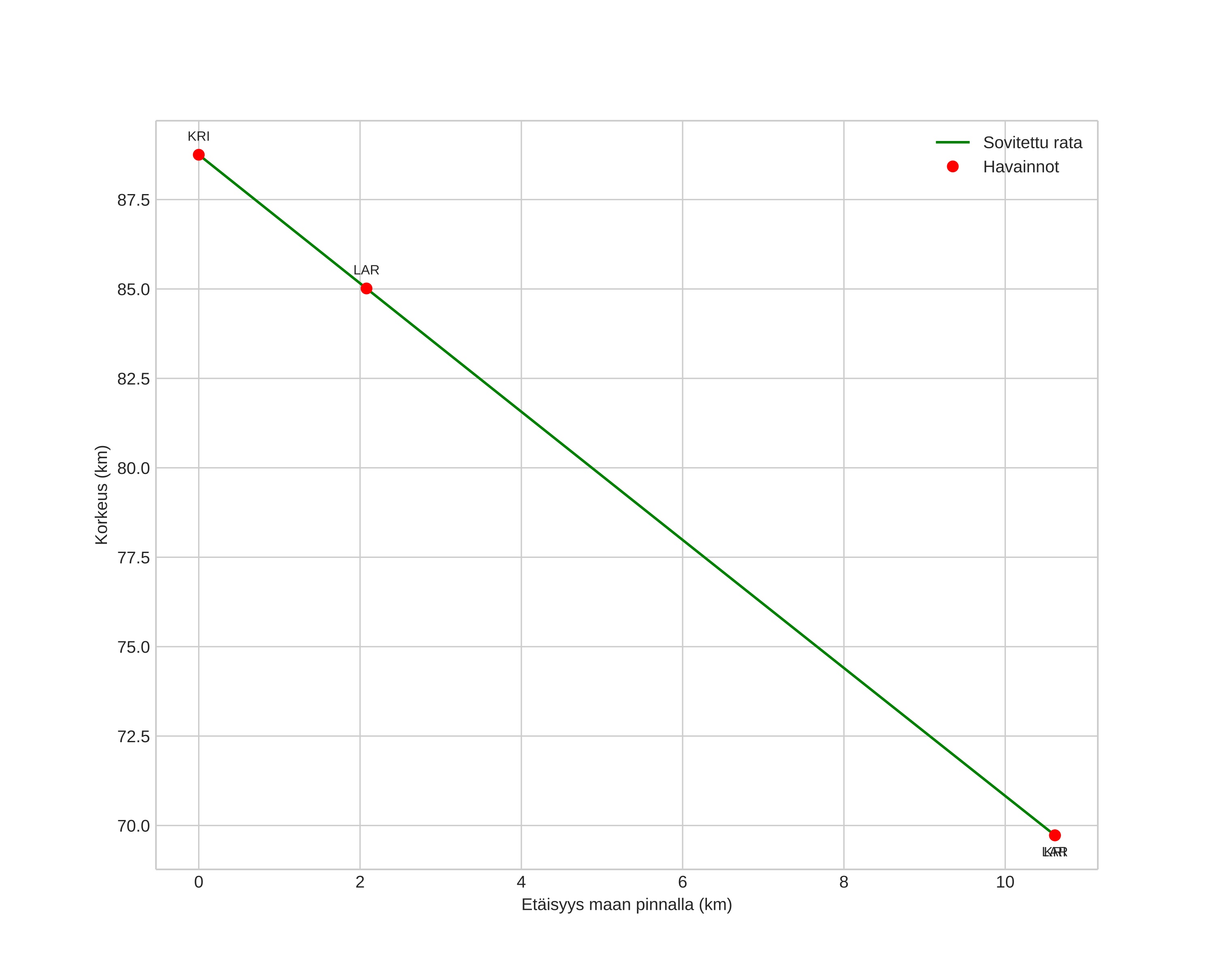
Meteorin ilmakehärata:
Alkukorkeus: 87,9 km
Loppukorkeus: 69,7 km
Alkupiste: 58,428N 8,860E
Loppupiste: 58,339N 8,887E
Suunta: 170,9°
Kallistuskulma: 61,0°
Tulonopeus: 17,4 km/s
Radiantin R,A,: 09:02 (135,6°)
Radiantin Dekl,: 84,2°
Meteoriparvi: Sporadinen
Meteoroidin rataelementit:
Perihelietäisyys: 0,998 AU
Eksentrisyys: 0,625
Inklinaatio: 18,2°
Nousevan solmun pituus: 5,4°
Perihelin argumentti: 179,6°
Keskianomalia: 0,1°
Epookki: 2025 MAR 26 02:48:44
orbit plot

Ei-interaktiivinen kuvaaja | Interaktiivinen kuvaaja

position vs time
speed and acceleration