🇳🇴 🇬🇧 🇩🇪 🇨🇿 🇫🇮

Meteor, poloha: Skreia 2025-03-28 23:26:57 UTC

Soubor KML  |  InteraktivnĂ­ mapa

Mapa zobrazuje dráhy meteoru. Světlejší čáry ukazují směry od pozorovacích stanic při objevení se meteoru a tmavší čáry, kde byl naposledy viděn. Modrá šipka značí viditelnou dráhu meteoru.

static map
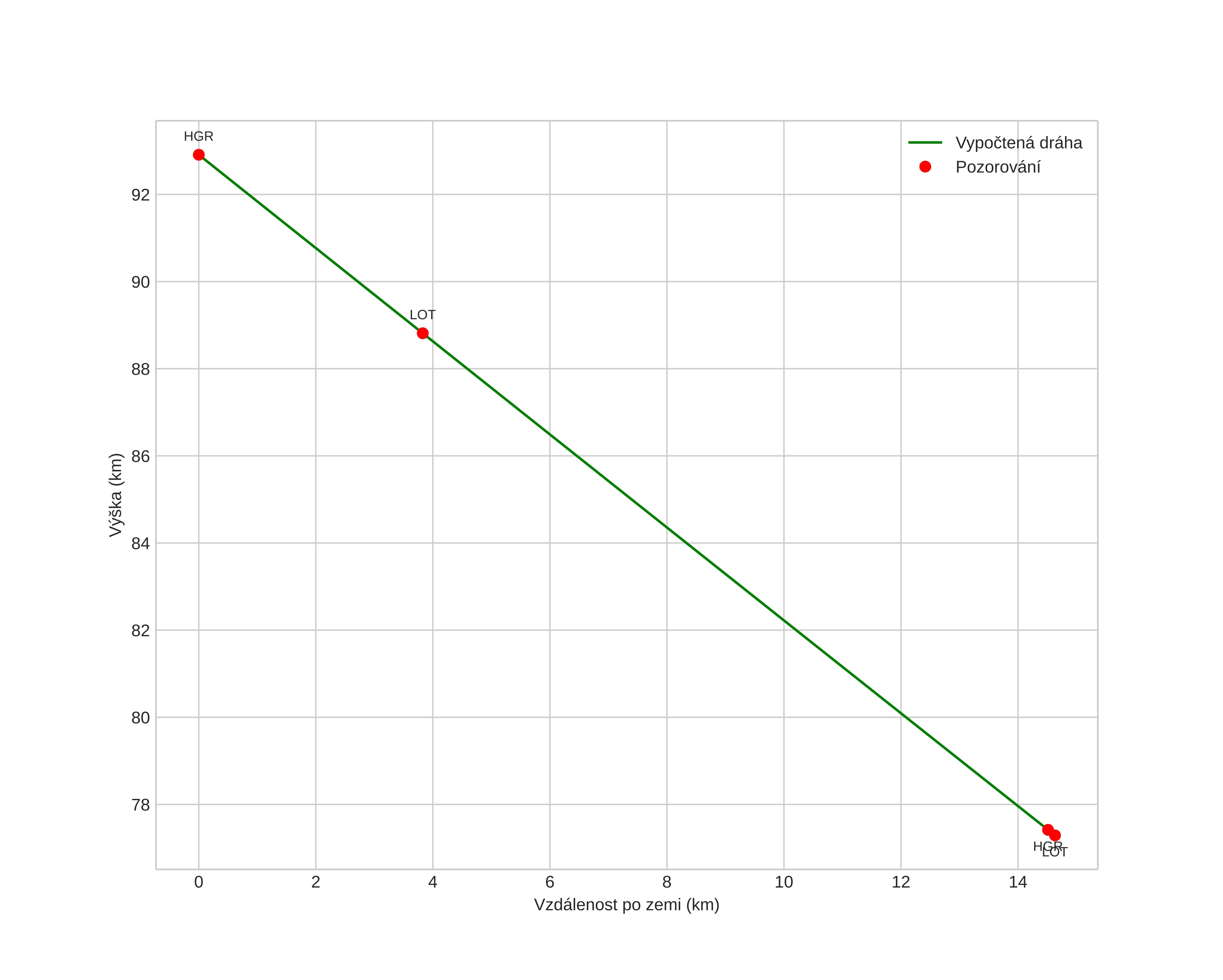
height profile
Atmosférická dráha meteoru:
Počáteční výška: 92,9 km
Konečná výška: 77,1 km
Počáteční poloha: 60,546N 10,859E
Konečná poloha: 60,664N 10,985E
Směr: 27,6°
Sklon: 46,8°
VstupnĂ­ rychlost: 17,3 km/s
Rektascenze radiantu: 11:07 (166,8°)
Deklinace radiantu: 13,9°
MeteorickĂ˝ roj: sporadickĂ˝
Elementy dráhy meteoroidu:
Vzdálenost v periheliu: 0,876 AU
Excentricita: 0,626
Sklon dráhy: 2,8°
Délka vzestupného uzlu: 8,2°
Argument perihelia: 226,9°
Střední anomálie: 350,8°
Epocha: 2025 MAR 28 23:26:57
orbit plot

NeinteraktivnĂ­ graf | InteraktivnĂ­ graf

position vs time
speed and acceleration