🇳🇴 🇬🇧 🇩🇪 🇨🇿 🇫🇮

Meteor Skjærhaldenin yllä 2025-03-29 02:32:26 UTC

KML-tiedosto  |  Interaktiivinen kartta

Kartta näyttää meteorin suuntahavainnot. Vaaleammat viivat näyttävät suunnat havaintoasemilta meteorin ilmestyessä, ja tummemmat viivat näyttävät, missä se viimeksi nähtiin. Sininen nuoli näyttää meteorin näkyvän lennon.

static map
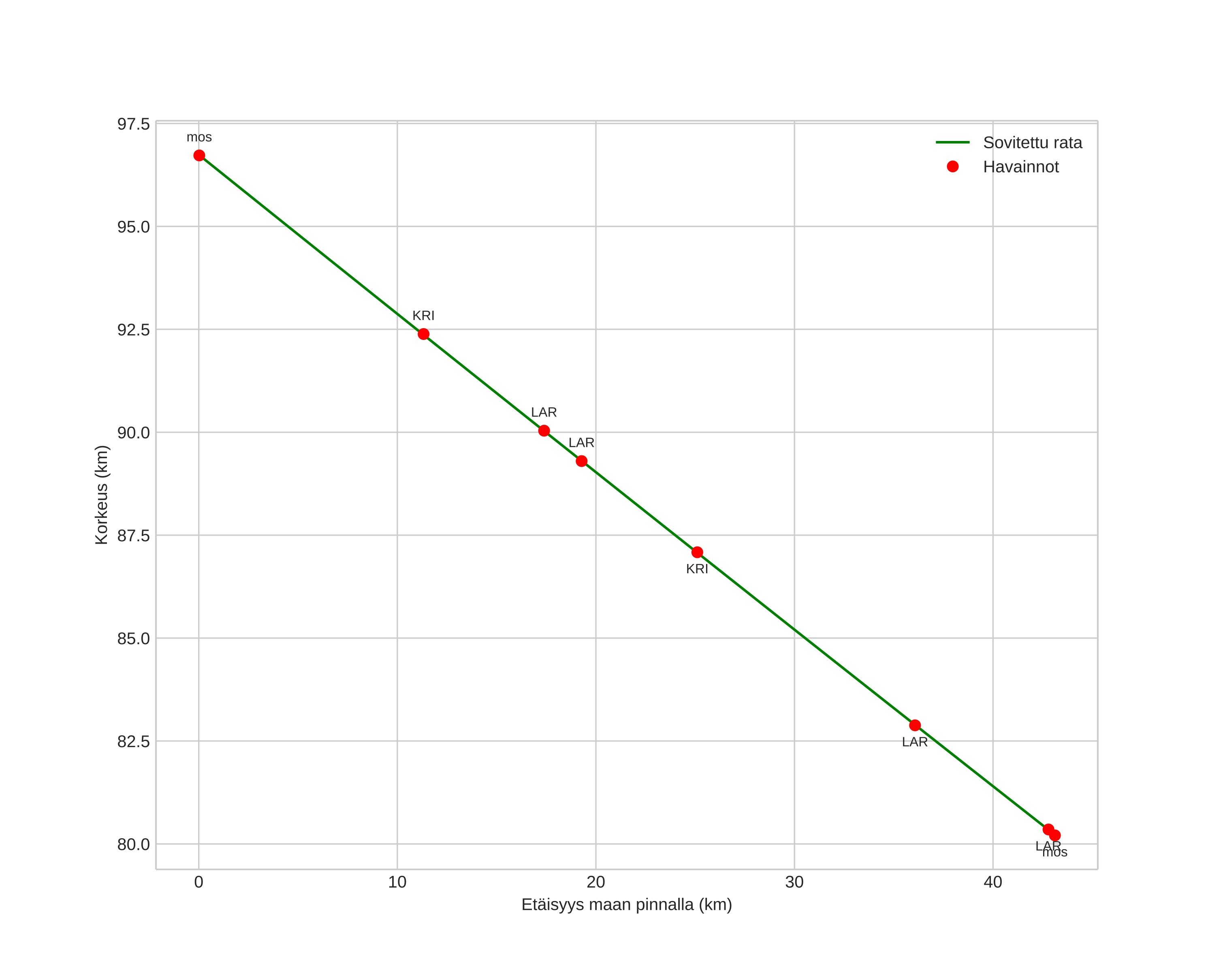
height profile
Meteorin ilmakehärata:
Alkukorkeus: 93,0 km
Loppukorkeus: 83,3 km
Alkupiste: 58,712N 10,615E
Loppupiste: 58,999N 11,057E
Suunta: 38,3°
Kallistuskulma: 13,3°
Tulonopeus: 30,9 km/s
Radiantin R,A,: 13:02 (195,7°)
Radiantin Dekl,: -14,2°
Meteoriparvi: Sporadinen
Meteoroidin rataelementit:
Perihelietäisyys: 0,362 AU
Eksentrisyys: 0,829
Inklinaatio: 8,3°
Nousevan solmun pituus: 188,3°
Perihelin argumentti: 113,9°
Keskianomalia: 346,3°
Epookki: 2025 MAR 29 02:32:26
orbit plot

Ei-interaktiivinen kuvaaja | Interaktiivinen kuvaaja

position vs time
speed and acceleration