🇳🇴 🇬🇧 🇩🇪 🇨🇿 🇫🇮

Meteor, poloha: Kragerø 2025-03-29 03:02:28 UTC

Soubor KML  |  InteraktivnĂ­ mapa

Mapa zobrazuje dráhy meteoru. Světlejší čáry ukazují směry od pozorovacích stanic při objevení se meteoru a tmavší čáry, kde byl naposledy viděn. Modrá šipka značí viditelnou dráhu meteoru.

static map
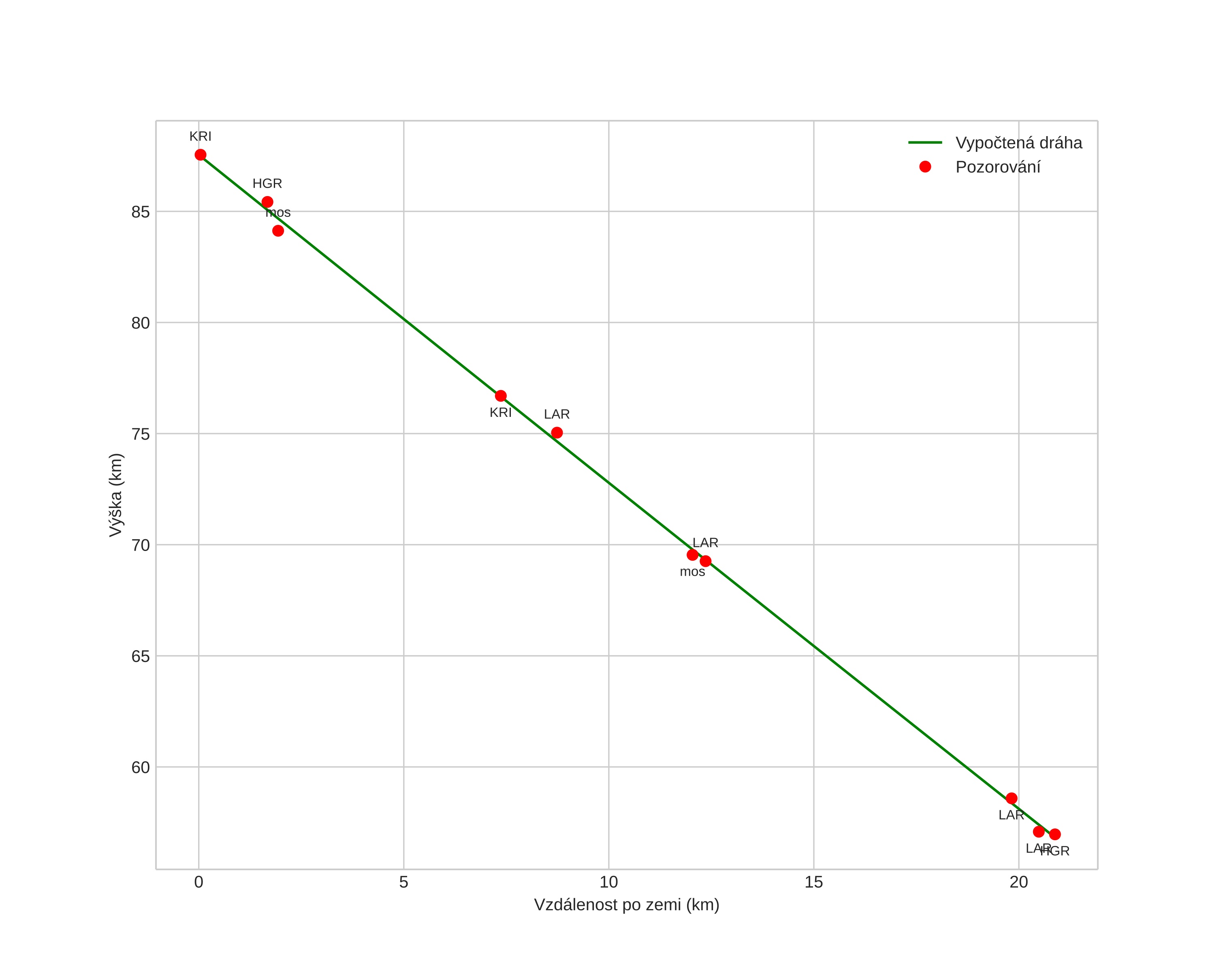
height profile
Atmosférická dráha meteoru:
Počáteční výška: 86,2 km
Konečná výška: 57,1 km
Počáteční poloha: 58,514N 9,204E
Konečná poloha: 58,542N 9,534E
Směr: 80,4°
Sklon: 56,3°
VstupnĂ­ rychlost: 20,7 km/s
Rektascenze radiantu: 12:45 (191,3°)
Deklinace radiantu: 38,9°
MeteorickĂ˝ roj: sporadickĂ˝
Elementy dráhy meteoroidu:
Vzdálenost v periheliu: 0,858 AU
Excentricita: 0,652
Sklon dráhy: 18,4°
Délka vzestupného uzlu: 8,3°
Argument perihelia: 230,0°
Střední anomálie: 351,1°
Epocha: 2025 MAR 29 03:02:28
orbit plot

NeinteraktivnĂ­ graf | InteraktivnĂ­ graf

position vs time
speed and acceleration