🇳🇴 🇬🇧 🇩🇪 🇨🇿 🇫🇮

Meteor Billingsforsin yllä 2025-03-30 21:31:15 UTC

KML-tiedosto  |  Interaktiivinen kartta

Kartta näyttää meteorin suuntahavainnot. Vaaleammat viivat näyttävät suunnat havaintoasemilta meteorin ilmestyessä, ja tummemmat viivat näyttävät, missä se viimeksi nähtiin. Sininen nuoli näyttää meteorin näkyvän lennon.

static map
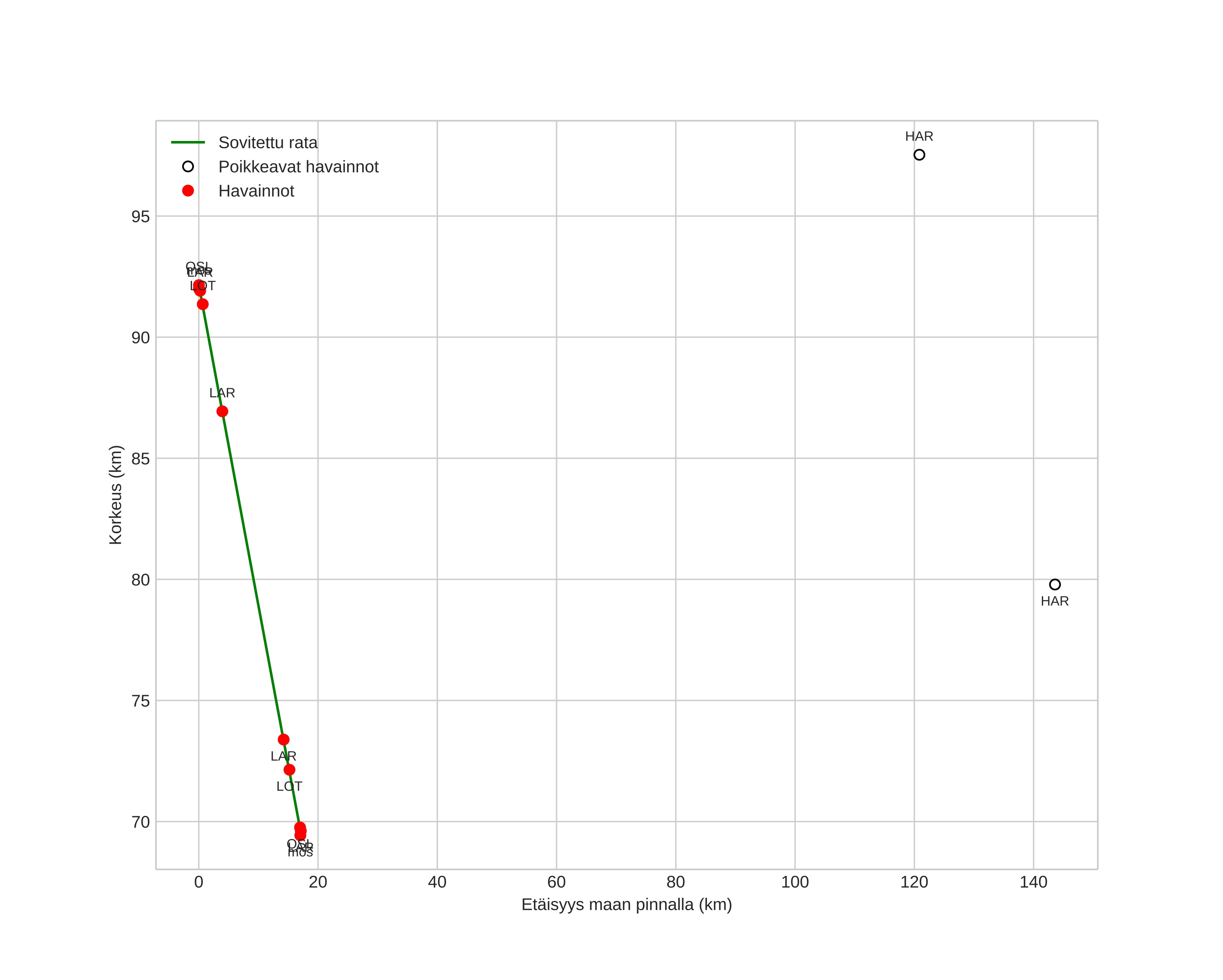
height profile
Meteorin ilmakehärata:
Alkukorkeus: 97,9 km
Loppukorkeus: 69,5 km
Alkupiste: 59,068N 12,446E
Loppupiste: 58,949N 12,148E
Suunta: 232,4°
Kallistuskulma: 52,8°
Tulonopeus: 25,6 km/s
Radiantin R,A,: 16:22 (245,5°)
Radiantin Dekl,: 60,1°
Meteoriparvi: Sporadinen
Meteoroidin rataelementit:
Perihelietäisyys: 0,978 AU
Eksentrisyys: 0,545
Inklinaatio: 37,6°
Nousevan solmun pituus: 10,1°
Perihelin argumentti: 199,7°
Keskianomalia: 355,1°
Epookki: 2025 MAR 30 21:31:15
orbit plot

Ei-interaktiivinen kuvaaja | Interaktiivinen kuvaaja

position vs time
speed and acceleration