🇳🇴 🇬🇧 🇩🇪 🇨🇿 🇫🇮

Meteor, poloha: Batnfjordsøra 2025-03-30 22:19:13 UTC

Soubor KML  |  InteraktivnĂ­ mapa

Mapa zobrazuje dráhy meteoru. Světlejší čáry ukazují směry od pozorovacích stanic při objevení se meteoru a tmavší čáry, kde byl naposledy viděn. Modrá šipka značí viditelnou dráhu meteoru.

static map
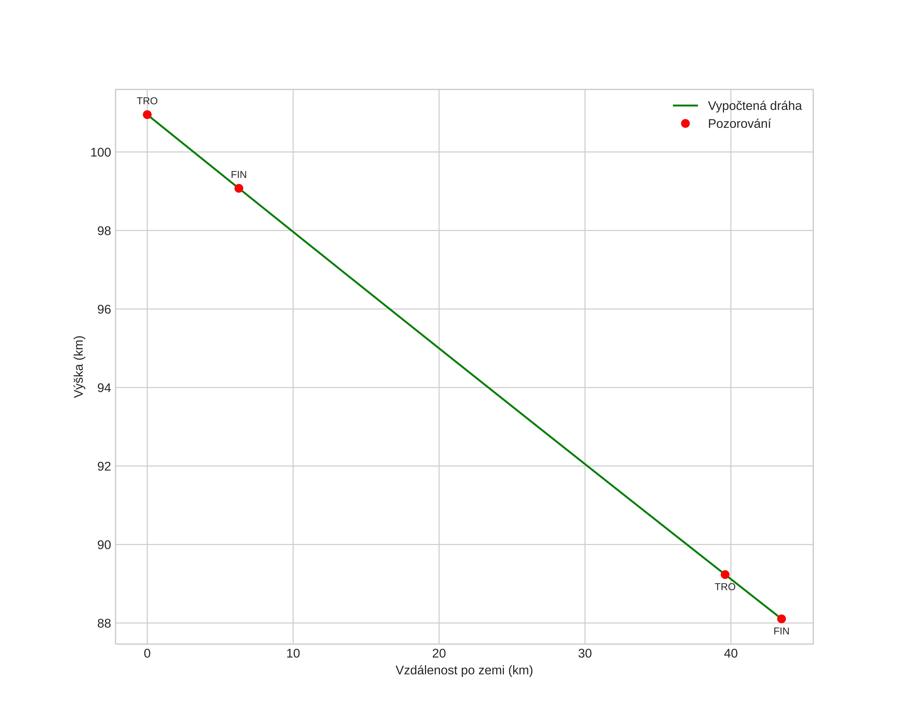
height profile
Atmosférická dráha meteoru:
Počáteční výška: 101,6 km
Konečná výška: 88,4 km
Počáteční poloha: 63,296N 7,831E
Konečná poloha: 62,914N 7,758E
Směr: 185,0°
Sklon: 17,2°
VstupnĂ­ rychlost: 32,5 km/s
Rektascenze radiantu: 22:59 (344,9°)
Deklinace radiantu: 41,1°
MeteorickĂ˝ roj: sporadickĂ˝
Elementy dráhy meteoroidu:
Vzdálenost v periheliu: 0,701 AU
Excentricita: 0,985
Sklon dráhy: 36,2°
Délka vzestupného uzlu: 10,1°
Argument perihelia: 113,5°
Střední anomálie: 0,1°
Epocha: 2025 MAR 30 22:19:13
orbit plot

NeinteraktivnĂ­ graf | InteraktivnĂ­ graf

position vs time
speed and acceleration