🇳🇴 🇬🇧 🇩🇪 🇨🇿 🇫🇮

Meteor, poloha: Mandal 2025-03-31 22:46:34 UTC

Soubor KML  |  InteraktivnĂ­ mapa

Mapa zobrazuje dráhy meteoru. Světlejší čáry ukazují směry od pozorovacích stanic při objevení se meteoru a tmavší čáry, kde byl naposledy viděn. Modrá šipka značí viditelnou dráhu meteoru.

static map
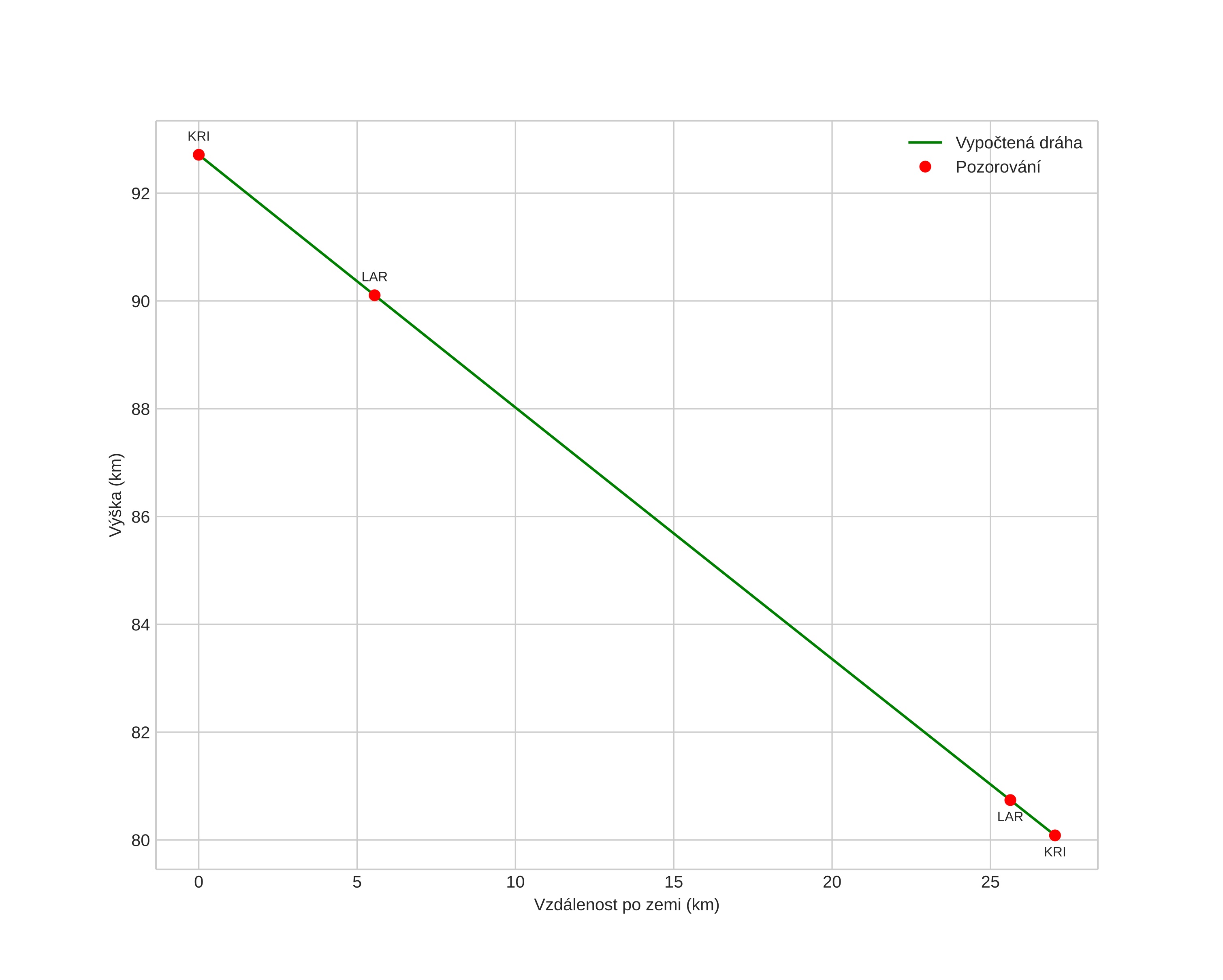
height profile
Atmosférická dráha meteoru:
Počáteční výška: 93,3 km
Konečná výška: 80,1 km
Počáteční poloha: 57,089N 7,771E
Konečná poloha: 57,327N 7,618E
Směr: 340,9°
Sklon: 25,2°
VstupnĂ­ rychlost: 32,8 km/s
Rektascenze radiantu: 13:03 (195,9°)
Deklinace radiantu: -8,3°
MeteorickĂ˝ roj: sporadickĂ˝
Elementy dráhy meteoroidu:
Vzdálenost v periheliu: 0,405 AU
Excentricita: 0,917
Sklon dráhy: 1,6°
Délka vzestupného uzlu: 191,1°
Argument perihelia: 104,2°
Střední anomálie: 356,3°
Epocha: 2025 MAR 31 22:46:34
orbit plot

NeinteraktivnĂ­ graf | InteraktivnĂ­ graf

position vs time
speed and acceleration