🇳🇴 🇬🇧 🇩🇪 🇨🇿 🇫🇮

Meteor, poloha: Innbygda 2025-04-01 02:00:21 UTC

Soubor KML  |  InteraktivnĂ­ mapa

Mapa zobrazuje dráhy meteoru. Světlejší čáry ukazují směry od pozorovacích stanic při objevení se meteoru a tmavší čáry, kde byl naposledy viděn. Modrá šipka značí viditelnou dráhu meteoru.

static map
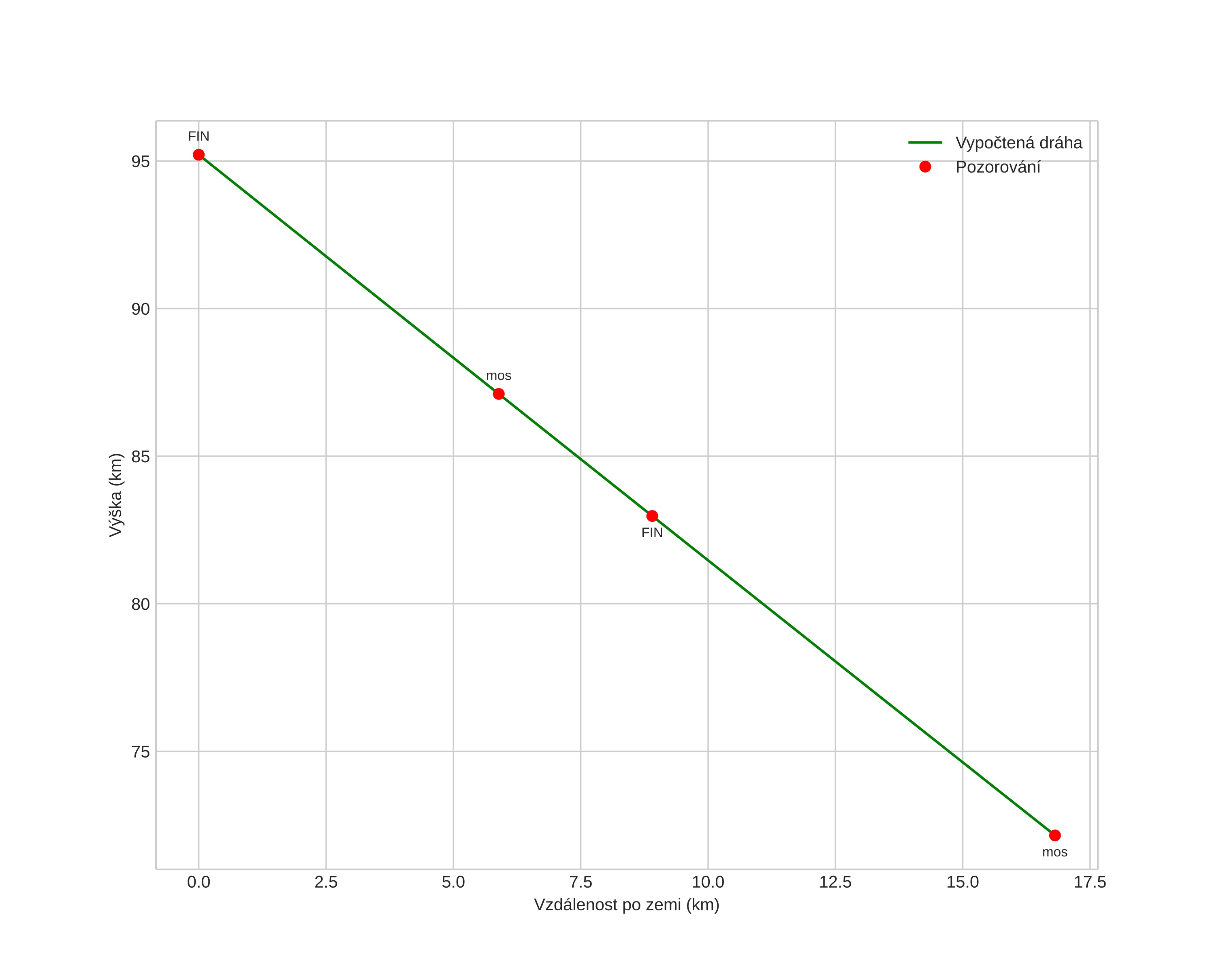
height profile
Atmosférická dráha meteoru:
Počáteční výška: 95,4 km
Konečná výška: 72,0 km
Počáteční poloha: 61,500N 12,637E
Konečná poloha: 61,461N 12,941E
Směr: 105,0°
Sklon: 54,4°
VstupnĂ­ rychlost: 16,1 km/s
Rektascenze radiantu: 10:38 (159,7°)
Deklinace radiantu: 47,2°
MeteorickĂ˝ roj: sporadickĂ˝
Elementy dráhy meteoroidu:
Vzdálenost v periheliu: 0,971 AU
Excentricita: 0,658
Sklon dráhy: 10,5°
Délka vzestupného uzlu: 11,3°
Argument perihelia: 201,8°
Střední anomálie: 356,6°
Epocha: 2025 APR 01 02:00:21
orbit plot

NeinteraktivnĂ­ graf | InteraktivnĂ­ graf

position vs time
speed and acceleration