🇳🇴 🇬🇧 🇩🇪 🇨🇿 🇫🇮

Meteor, poloha: Nyhammar 2025-04-01 20:18:57 UTC

Soubor KML  |  InteraktivnĂ­ mapa

Mapa zobrazuje dráhy meteoru. Světlejší čáry ukazují směry od pozorovacích stanic při objevení se meteoru a tmavší čáry, kde byl naposledy viděn. Modrá šipka značí viditelnou dráhu meteoru.

static map
height profile
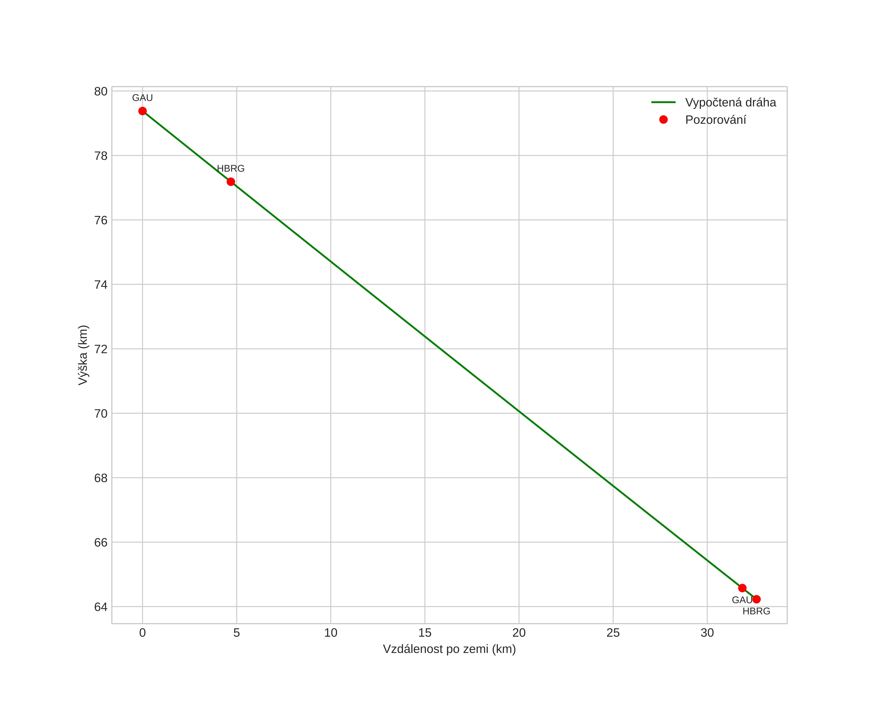
Atmosférická dráha meteoru:
Počáteční výška: 79,4 km
Konečná výška: 64,2 km
Počáteční poloha: 60,131N 15,201E
Konečná poloha: 60,376N 14,874E
Směr: 326,6°
Sklon: 24,9°
VstupnĂ­ rychlost: 21,9 km/s
Rektascenze radiantu: 12:03 (180,8°)
Deklinace radiantu: -5,8°
MeteorickĂ˝ roj: sporadickĂ˝
Elementy dráhy meteoroidu:
Vzdálenost v periheliu: 0,713 AU
Excentricita: 0,695
Sklon dráhy: 2,9°
Délka vzestupného uzlu: 192,0°
Argument perihelia: 72,5°
Střední anomálie: 348,0°
Epocha: 2025 APR 01 20:18:57
orbit plot

NeinteraktivnĂ­ graf | InteraktivnĂ­ graf

position vs time
speed and acceleration