🇳🇴 🇬🇧 🇩🇪 🇨🇿 🇫🇮

Meteor, poloha: Drammen 2025-04-01 20:26:50 UTC

Soubor KML  |  InteraktivnĂ­ mapa

Mapa zobrazuje dráhy meteoru. Světlejší čáry ukazují směry od pozorovacích stanic při objevení se meteoru a tmavší čáry, kde byl naposledy viděn. Modrá šipka značí viditelnou dráhu meteoru.

static map
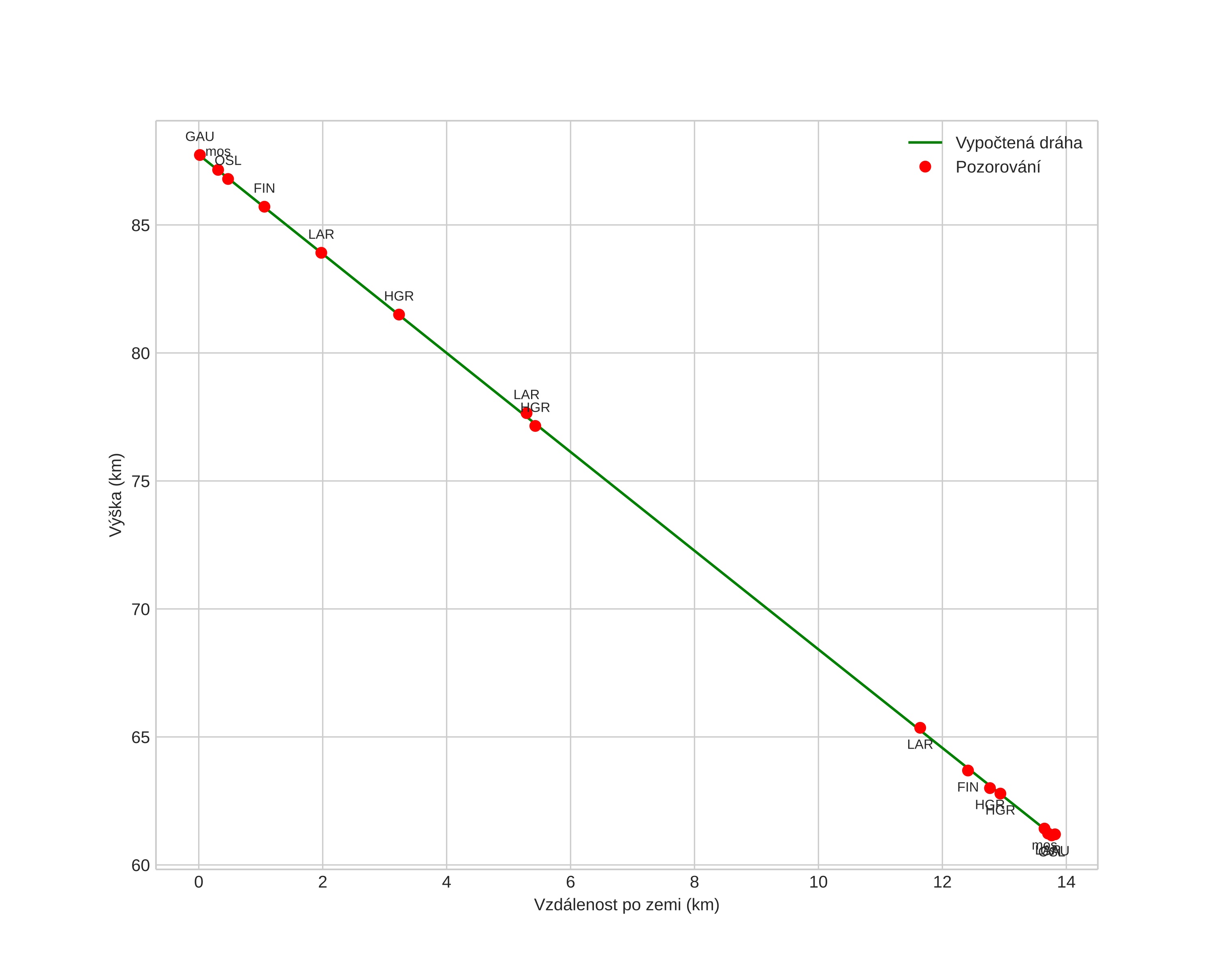
height profile
Atmosférická dráha meteoru:
Počáteční výška: 88,4 km
Konečná výška: 61,1 km
Počáteční poloha: 59,886N 10,280E
Konečná poloha: 59,772N 10,162E
Směr: 207,6°
Sklon: 62,5°
VstupnĂ­ rychlost: 20,2 km/s
Rektascenze radiantu: 14:55 (223,9°)
Deklinace radiantu: 77,0°
MeteorickĂ˝ roj: sporadickĂ˝
Elementy dráhy meteoroidu:
Vzdálenost v periheliu: 0,998 AU
Excentricita: 0,624
Sklon dráhy: 25,0°
Délka vzestupného uzlu: 12,0°
Argument perihelia: 185,2°
Střední anomálie: 359,1°
Epocha: 2025 APR 01 20:26:50
orbit plot

NeinteraktivnĂ­ graf | InteraktivnĂ­ graf

position vs time
speed and acceleration