🇳🇴 🇬🇧 🇩🇪 🇨🇿 🇫🇮

Meteor, poloha: Innbygda 2025-04-01 21:58:54 UTC

Soubor KML  |  InteraktivnĂ­ mapa

Mapa zobrazuje dráhy meteoru. Světlejší čáry ukazují směry od pozorovacích stanic při objevení se meteoru a tmavší čáry, kde byl naposledy viděn. Modrá šipka značí viditelnou dráhu meteoru.

static map
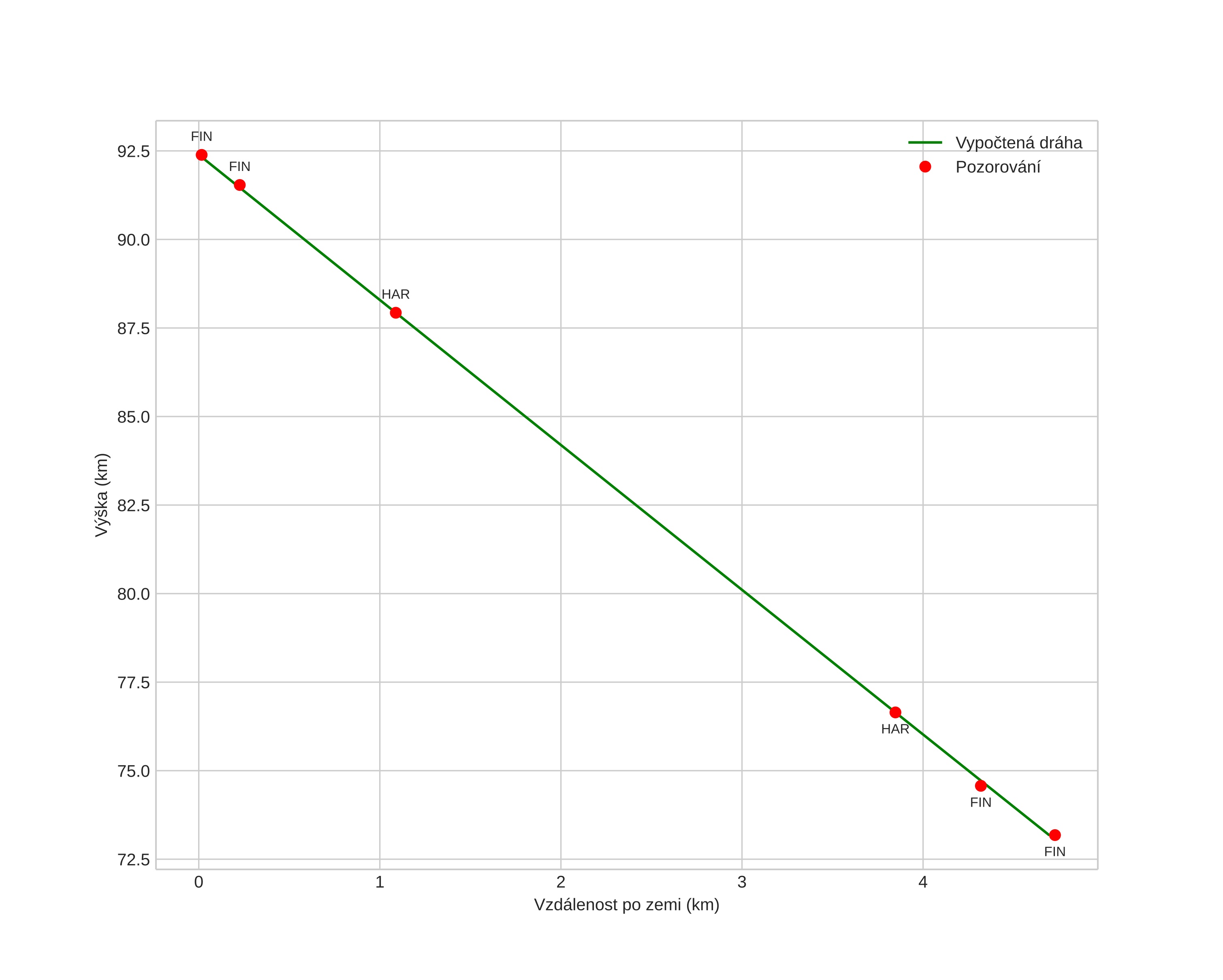
height profile
Atmosférická dráha meteoru:
Počáteční výška: 92,4 km
Konečná výška: 73,7 km
Počáteční poloha: 61,750N 13,176E
Konečná poloha: 61,734N 13,094E
Směr: 248,0°
Sklon: 75,9°
VstupnĂ­ rychlost: 20,1 km/s
Rektascenze radiantu: 13:41 (205,3°)
Deklinace radiantu: 64,0°
MeteorickĂ˝ roj: sporadickĂ˝
Elementy dráhy meteoroidu:
Vzdálenost v periheliu: 0,973 AU
Excentricita: 0,616
Sklon dráhy: 23,7°
Délka vzestupného uzlu: 12,1°
Argument perihelia: 201,4°
Střední anomálie: 355,9°
Epocha: 2025 APR 01 21:58:54
orbit plot

NeinteraktivnĂ­ graf | InteraktivnĂ­ graf

position vs time
speed and acceleration