🇳🇴 🇬🇧 🇩🇪 🇨🇿 🇫🇮

Meteor, poloha: Fjerritslev 2025-04-01 23:08:23 UTC

Soubor KML  |  InteraktivnĂ­ mapa

Mapa zobrazuje dráhy meteoru. Světlejší čáry ukazují směry od pozorovacích stanic při objevení se meteoru a tmavší čáry, kde byl naposledy viděn. Modrá šipka značí viditelnou dráhu meteoru.

static map
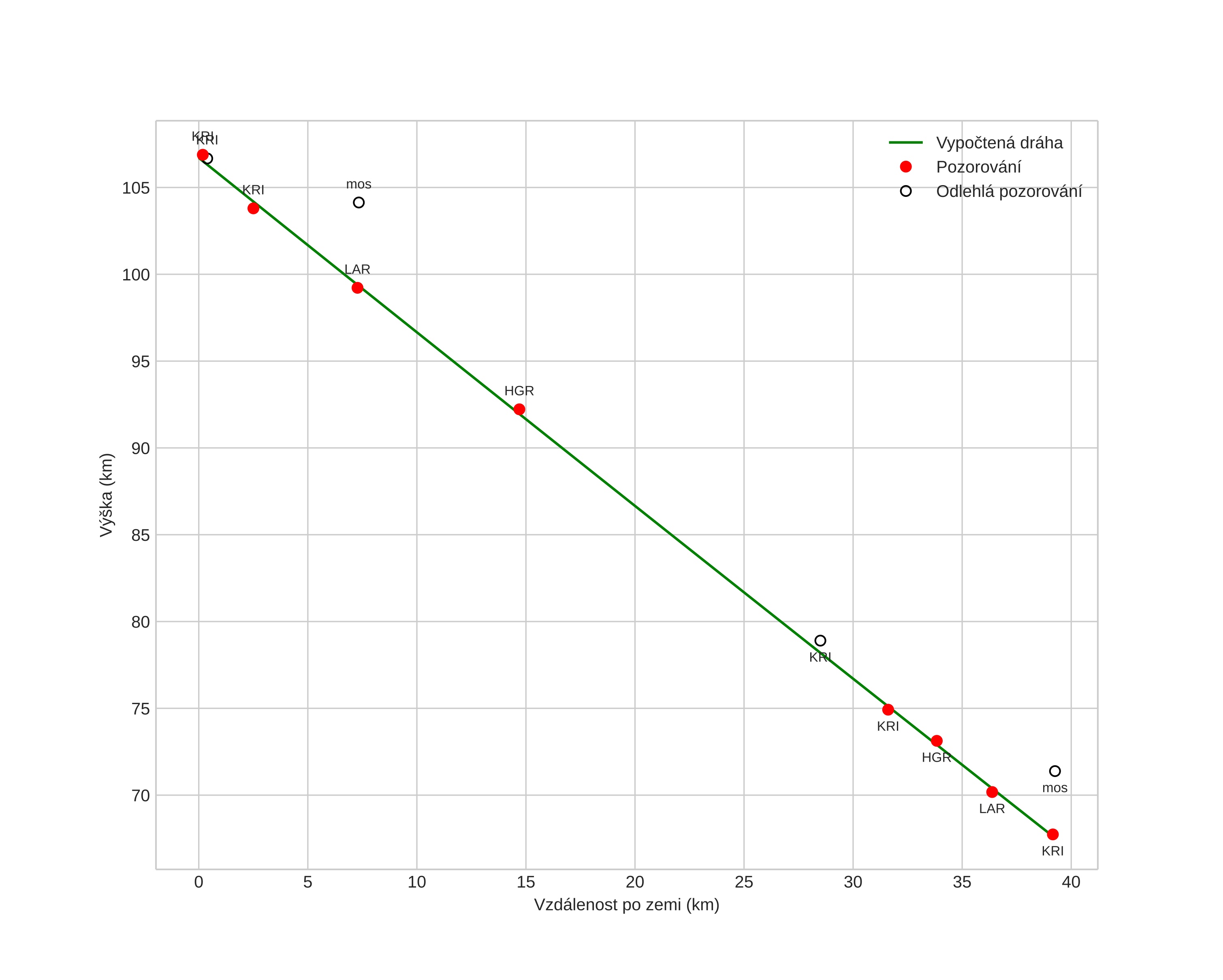
height profile
Atmosférická dráha meteoru:
Počáteční výška: 101,7 km
Konečná výška: 47,4 km
Počáteční poloha: 57,882N 9,768E
Konečná poloha: 57,658N 9,090E
Směr: 238,5°
Sklon: 48,9°
VstupnĂ­ rychlost: 34,2 km/s
Rektascenze radiantu: 17:49 (267,4°)
Deklinace radiantu: 54,7°
MeteorickĂ˝ roj: sporadickĂ˝
Elementy dráhy meteoroidu:
Vzdálenost v periheliu: 0,997 AU
Excentricita: 0,745
Sklon dráhy: 53,2°
Délka vzestupného uzlu: 12,1°
Argument perihelia: 185,8°
Střední anomálie: 359,4°
Epocha: 2025 APR 01 23:08:23
orbit plot

NeinteraktivnĂ­ graf | InteraktivnĂ­ graf

position vs time
speed and acceleration