🇳🇴 🇬🇧 🇩🇪 🇨🇿 🇫🇮

Meteor, poloha: Fjerritslev 2025-04-02 21:00:33 UTC

Soubor KML  |  InteraktivnĂ­ mapa

Mapa zobrazuje dráhy meteoru. Světlejší čáry ukazují směry od pozorovacích stanic při objevení se meteoru a tmavší čáry, kde byl naposledy viděn. Modrá šipka značí viditelnou dráhu meteoru.

static map
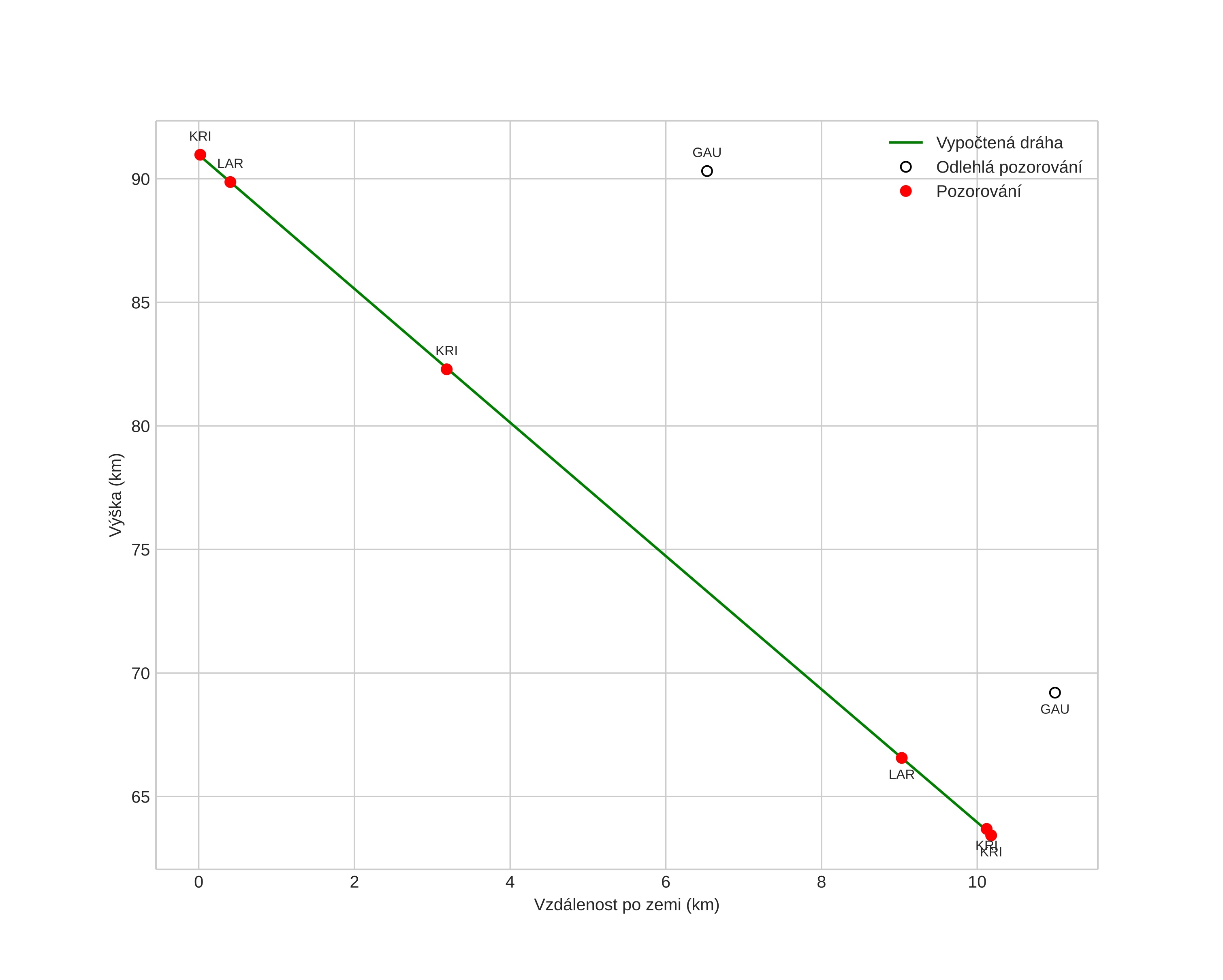
height profile
Atmosférická dráha meteoru:
Počáteční výška: 91,1 km
Konečná výška: 63,8 km
Počáteční poloha: 57,749N 9,048E
Konečná poloha: 57,659N 9,081E
Směr: 168,8°
Sklon: 69,5°
VstupnĂ­ rychlost: 17,2 km/s
Rektascenze radiantu: 08:20 (125,1°)
Deklinace radiantu: 79,2°
MeteorickĂ˝ roj: sporadickĂ˝
Elementy dráhy meteoroidu:
Vzdálenost v periheliu: 0,999 AU
Excentricita: 0,672
Sklon dráhy: 16,6°
Délka vzestupného uzlu: 13,0°
Argument perihelia: 177,5°
Střední anomálie: 0,4°
Epocha: 2025 APR 02 21:00:33
orbit plot

NeinteraktivnĂ­ graf | InteraktivnĂ­ graf

position vs time
speed and acceleration

Kristiansand (KRI) cam3


gnomonic
Videa
• Gnomonická
• Gnomonická se souřadnicemi
• Původní
• Původní se souřadnicemi
Obrázky
• Gnomonická
• Gnomonická se souřadnicemi
• Gnomonická s popisky
• Původní
• Původní se souřadnicemi
Textové soubory
• Detekce
• Pozorování
• Souřadnice
• Protokol
Jasnost