🇳🇴 🇬🇧 🇩🇪 🇨🇿 🇫🇮

Meteor, poloha: Jevnaker 2025-04-02 22:56:22 UTC

Soubor KML  |  InteraktivnĂ­ mapa

Mapa zobrazuje dráhy meteoru. Světlejší čáry ukazují směry od pozorovacích stanic při objevení se meteoru a tmavší čáry, kde byl naposledy viděn. Modrá šipka značí viditelnou dráhu meteoru.

static map
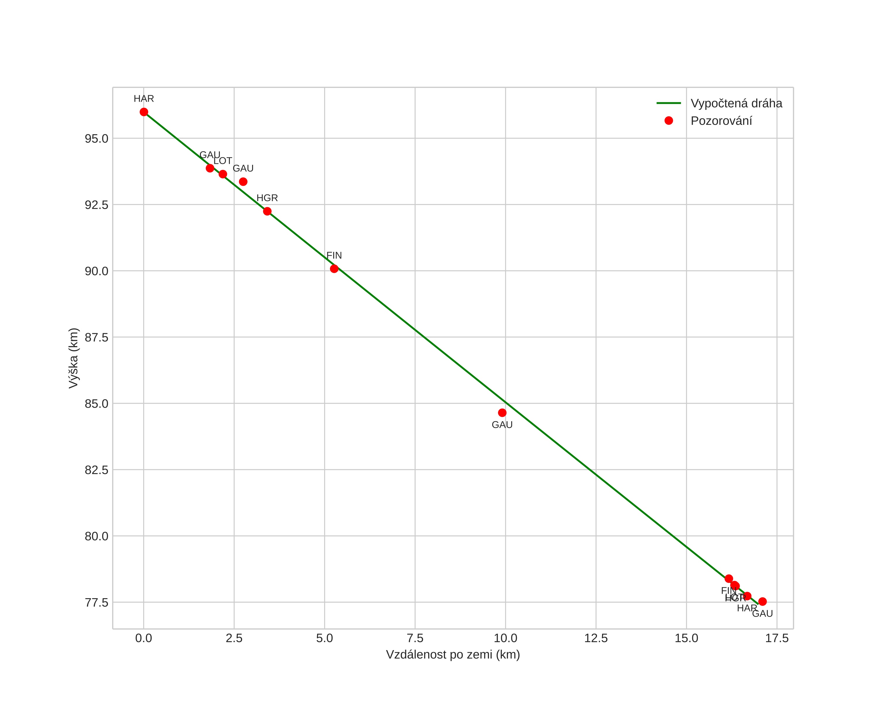
height profile
Atmosférická dráha meteoru:
Počáteční výška: 96,4 km
Konečná výška: 77,3 km
Počáteční poloha: 60,512N 10,336E
Konečná poloha: 60,356N 10,356E
Směr: 176,4°
Sklon: 47,8°
VstupnĂ­ rychlost: 21,0 km/s
Rektascenze radiantu: 01:07 (16,9°)
Deklinace radiantu: 73,4°
MeteorickĂ˝ roj: sporadickĂ˝
Elementy dráhy meteoroidu:
Vzdálenost v periheliu: 0,966 AU
Excentricita: 0,831
Sklon dráhy: 22,4°
Délka vzestupného uzlu: 13,1°
Argument perihelia: 157,6°
Střední anomálie: 1,2°
Epocha: 2025 APR 02 22:56:22
orbit plot

NeinteraktivnĂ­ graf | InteraktivnĂ­ graf

position vs time
speed and acceleration