🇳🇴 🇬🇧 🇩🇪 🇨🇿 🇫🇮

Meteor, poloha: Ă…mli 2025-04-03 00:59:50 UTC

Soubor KML  |  InteraktivnĂ­ mapa

Mapa zobrazuje dráhy meteoru. Světlejší čáry ukazují směry od pozorovacích stanic při objevení se meteoru a tmavší čáry, kde byl naposledy viděn. Modrá šipka značí viditelnou dráhu meteoru.

static map
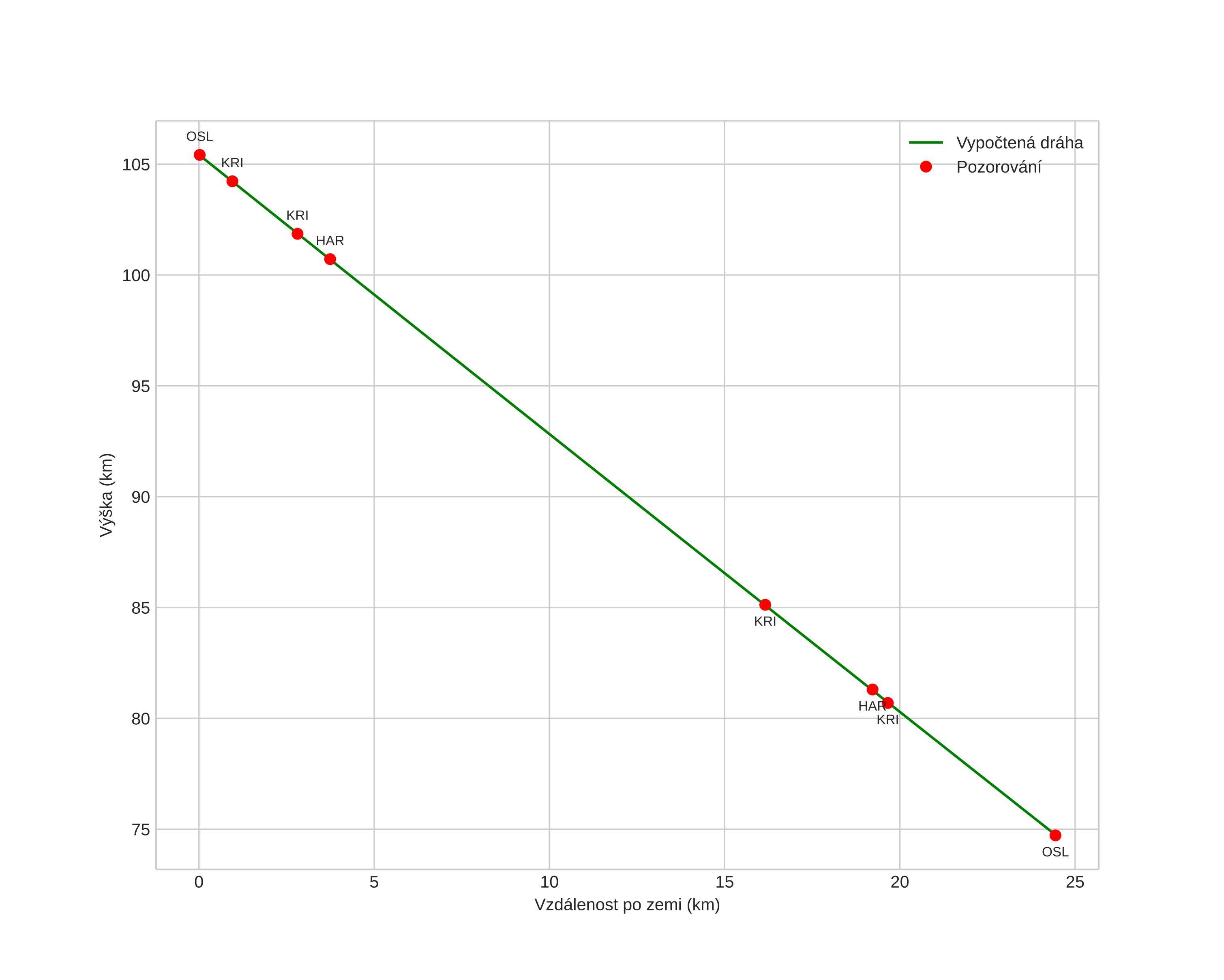
height profile
Atmosférická dráha meteoru:
Počáteční výška: 105,5 km
Konečná výška: 74,8 km
Počáteční poloha: 58,939N 8,927E
Konečná poloha: 58,872N 8,522E
Směr: 252,5°
Sklon: 51,5°
VstupnĂ­ rychlost: 35,6 km/s
Rektascenze radiantu: 18:55 (283,8°)
Deklinace radiantu: 49,6°
MeteorickĂ˝ roj: sporadickĂ˝
Elementy dráhy meteoroidu:
Vzdálenost v periheliu: 0,989 AU
Excentricita: 0,605
Sklon dráhy: 58,5°
Délka vzestupného uzlu: 13,2°
Argument perihelia: 166,0°
Střední anomálie: 2,8°
Epocha: 2025 APR 03 00:59:50
orbit plot

NeinteraktivnĂ­ graf | InteraktivnĂ­ graf

position vs time
speed and acceleration