🇳🇴 🇬🇧 🇩🇪 🇨🇿 🇫🇮

Meteor, poloha: Mora 2025-04-03 01:02:12 UTC

Soubor KML  |  InteraktivnĂ­ mapa

Mapa zobrazuje dráhy meteoru. Světlejší čáry ukazují směry od pozorovacích stanic při objevení se meteoru a tmavší čáry, kde byl naposledy viděn. Modrá šipka značí viditelnou dráhu meteoru.

static map
height profile
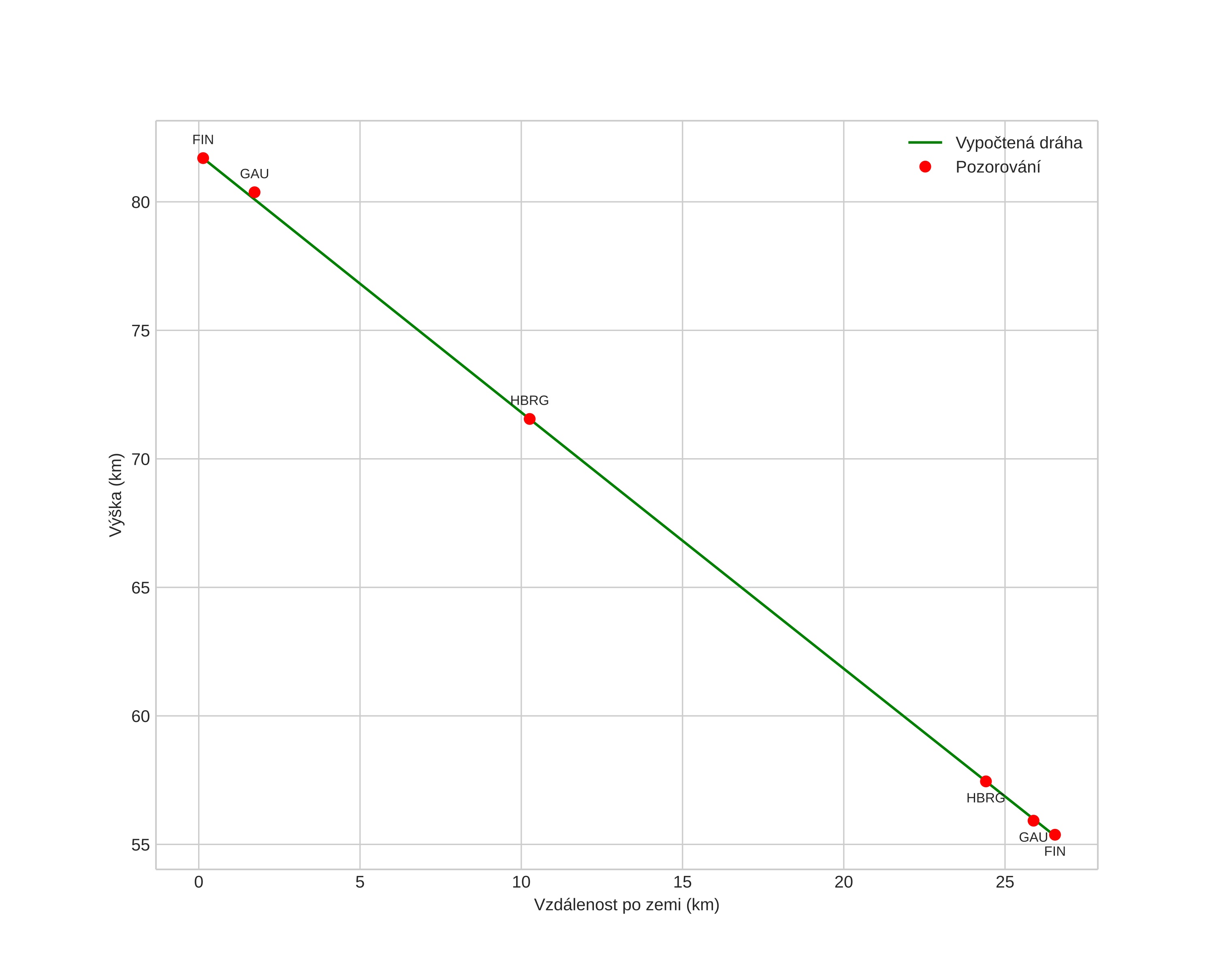
Atmosférická dráha meteoru:
Počáteční výška: 81,6 km
Konečná výška: 55,3 km
Počáteční poloha: 60,632N 14,592E
Konečná poloha: 60,875N 14,608E
Směr: 1,8°
Sklon: 44,2°
VstupnĂ­ rychlost: 18,0 km/s
Rektascenze radiantu: 14:36 (219,1°)
Deklinace radiantu: 9,2°
MeteorickĂ˝ roj: sporadickĂ˝
Elementy dráhy meteoroidu:
Vzdálenost v periheliu: 0,531 AU
Excentricita: 0,421
Sklon dráhy: 12,5°
Délka vzestupného uzlu: 13,2°
Argument perihelia: 305,7°
Střední anomálie: 281,2°
Epocha: 2025 APR 03 01:02:12
orbit plot

NeinteraktivnĂ­ graf | InteraktivnĂ­ graf

position vs time
speed and acceleration