🇳🇴 🇬🇧 🇩🇪 🇨🇿 🇫🇮

Meteor, poloha: Hov 2025-04-03 01:44:29 UTC

Soubor KML  |  InteraktivnĂ­ mapa

Mapa zobrazuje dráhy meteoru. Světlejší čáry ukazují směry od pozorovacích stanic při objevení se meteoru a tmavší čáry, kde byl naposledy viděn. Modrá šipka značí viditelnou dráhu meteoru.

static map
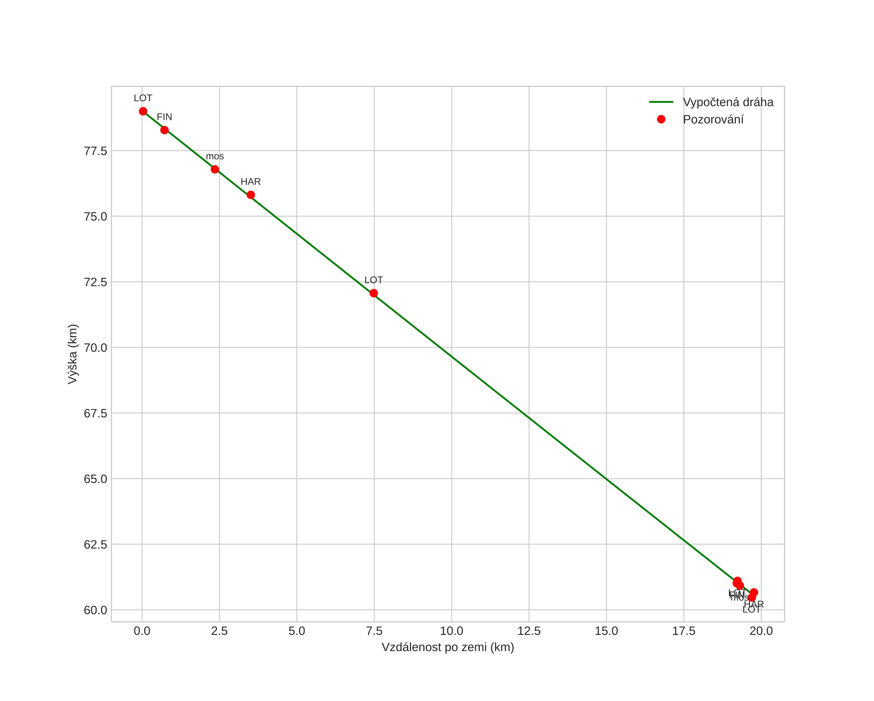
height profile
Atmosférická dráha meteoru:
Počáteční výška: 79,1 km
Konečná výška: 60,5 km
Počáteční poloha: 60,836N 10,480E
Konečná poloha: 60,665N 10,373E
Směr: 197,0°
Sklon: 43,1°
VstupnĂ­ rychlost: 16,4 km/s
Rektascenze radiantu: 01:13 (18,4°)
Deklinace radiantu: 62,8°
MeteorickĂ˝ roj: sporadickĂ˝
Elementy dráhy meteoroidu:
Vzdálenost v periheliu: 0,945 AU
Excentricita: 0,500
Sklon dráhy: 14,9°
Délka vzestupného uzlu: 13,2°
Argument perihelia: 146,6°
Střední anomálie: 10,0°
Epocha: 2025 APR 03 01:44:29
orbit plot

NeinteraktivnĂ­ graf | InteraktivnĂ­ graf

position vs time
speed and acceleration