🇳🇴 🇬🇧 🇩🇪 🇨🇿 🇫🇮

Meteor, poloha: Arendal 2025-04-03 02:04:24 UTC

Soubor KML  |  InteraktivnĂ­ mapa

Mapa zobrazuje dráhy meteoru. Světlejší čáry ukazují směry od pozorovacích stanic při objevení se meteoru a tmavší čáry, kde byl naposledy viděn. Modrá šipka značí viditelnou dráhu meteoru.

static map
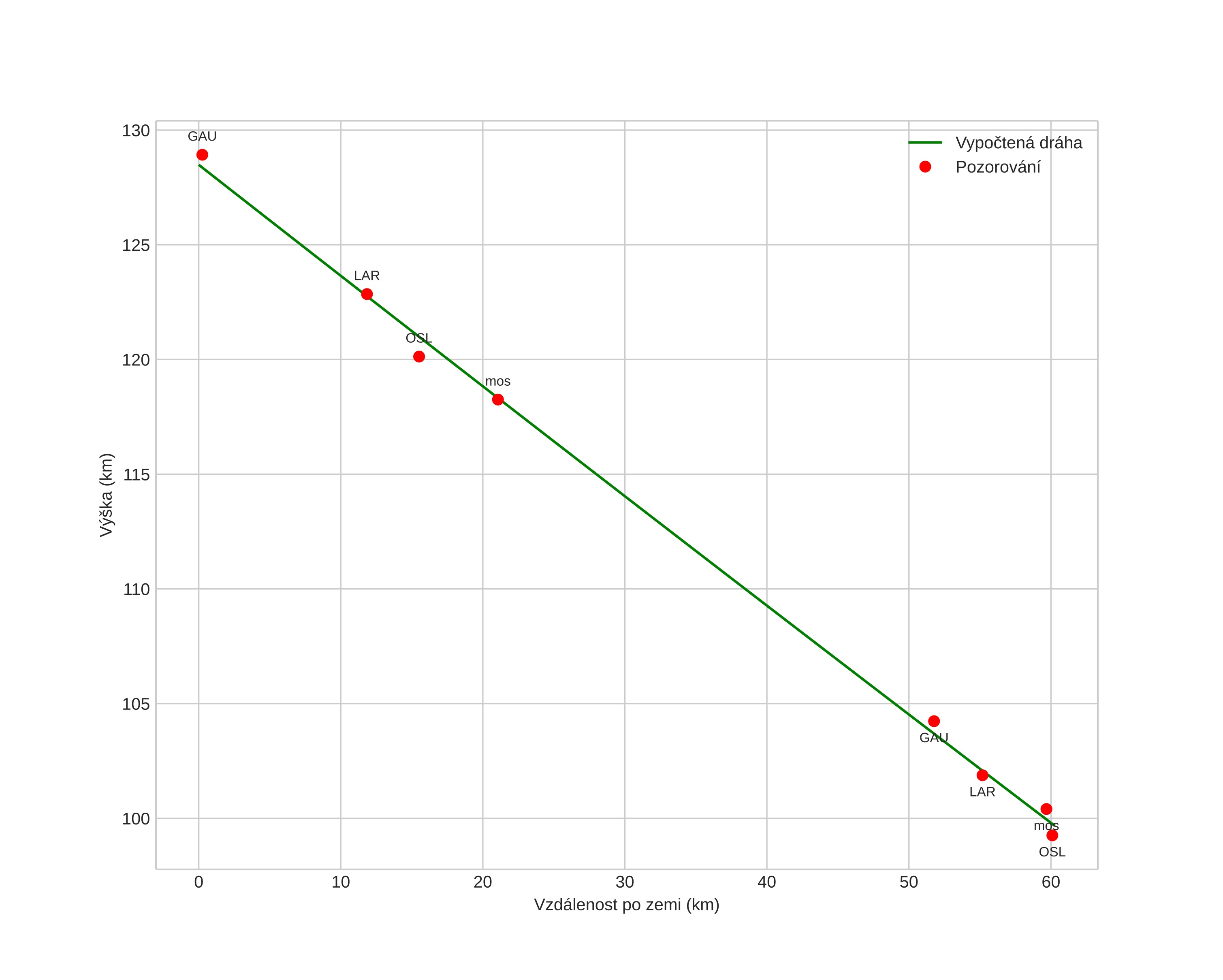
height profile
Atmosférická dráha meteoru:
Počáteční výška: 119,6 km
Konečná výška: 99,1 km
Počáteční poloha: 57,985N 9,533E
Konečná poloha: 58,255N 8,915E
Směr: 309,9°
Sklon: 23,5°
VstupnĂ­ rychlost: 59,3 km/s
Rektascenze radiantu: 18:26 (276,7°)
Deklinace radiantu: 0,9°
MeteorickĂ˝ roj: sporadickĂ˝
Elementy dráhy meteoroidu:
Vzdálenost v periheliu: 0,949 AU
Excentricita: 0,290
Sklon dráhy: 134,0°
Délka vzestupného uzlu: 13,2°
Argument perihelia: 219,3°
Střední anomálie: 338,6°
Epocha: 2025 APR 03 02:04:24
orbit plot

NeinteraktivnĂ­ graf | InteraktivnĂ­ graf

position vs time
speed and acceleration