🇳🇴 🇬🇧 🇩🇪 🇨🇿 🇫🇮

Meteor, poloha: Hadsund 2025-04-03 21:10:32 UTC

Soubor KML  |  InteraktivnĂ­ mapa

Mapa zobrazuje dráhy meteoru. Světlejší čáry ukazují směry od pozorovacích stanic při objevení se meteoru a tmavší čáry, kde byl naposledy viděn. Modrá šipka značí viditelnou dráhu meteoru.

static map
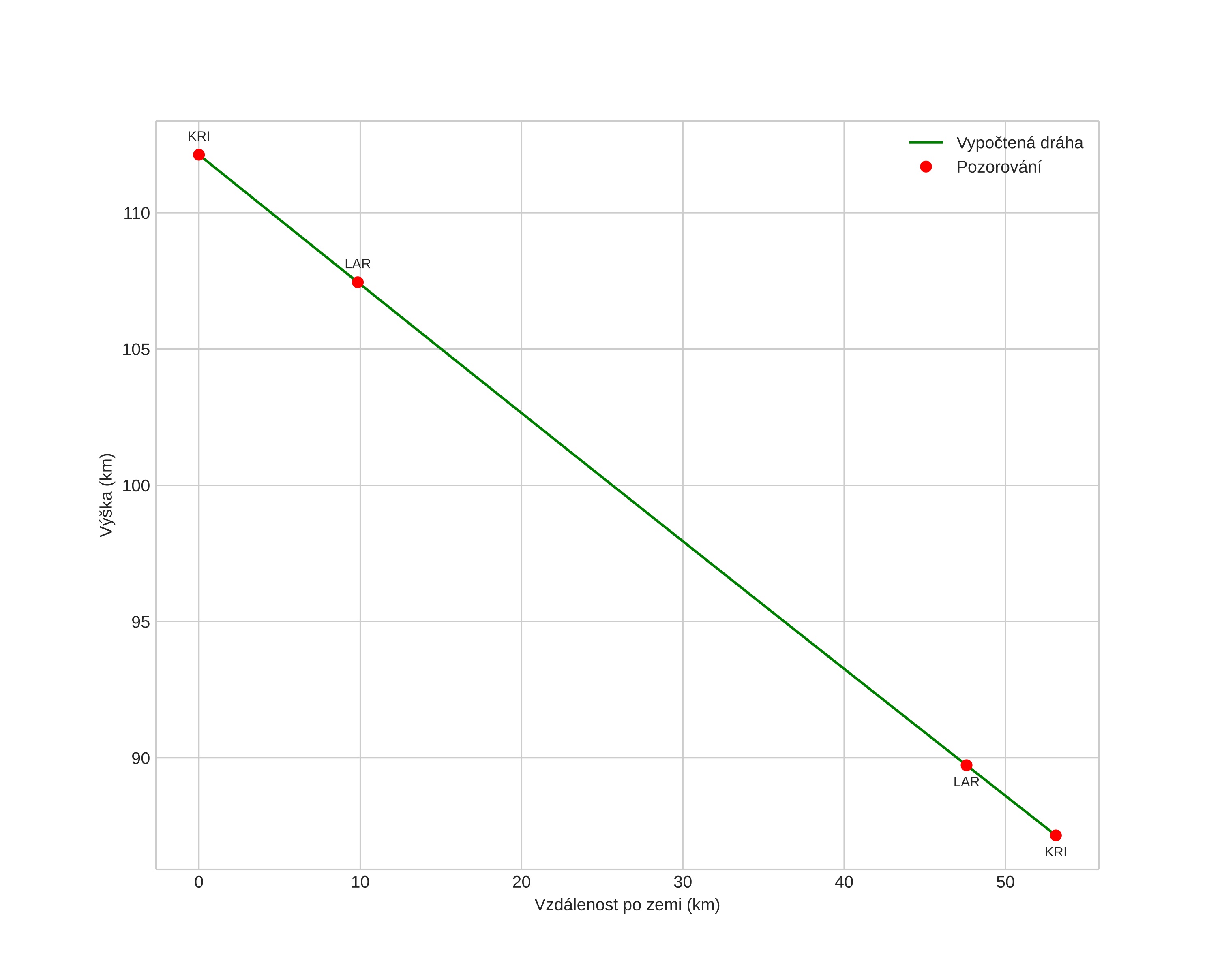
height profile
Atmosférická dráha meteoru:
Počáteční výška: 105,5 km
Konečná výška: 84,8 km
Počáteční poloha: 56,856N 10,896E
Konečná poloha: 56,792N 10,134E
Směr: 261,6°
Sklon: 23,8°
VstupnĂ­ rychlost: 52,2 km/s
Rektascenze radiantu: 16:17 (244,3°)
Deklinace radiantu: 23,7°
MeteorickĂ˝ roj: sporadickĂ˝
Elementy dráhy meteoroidu:
Vzdálenost v periheliu: 0,670 AU
Excentricita: 1,154
Sklon dráhy: 81,5°
Délka vzestupného uzlu: 14,0°
Argument perihelia: 247,4°
Střední anomálie: -3,7°
Epocha: 2025 APR 03 21:10:32
orbit plot

NeinteraktivnĂ­ graf | InteraktivnĂ­ graf

position vs time
speed and acceleration