🇳🇴 🇬🇧 🇩🇪 🇨🇿 🇫🇮

Meteor, poloha: Jørpeland 2025-04-04 02:00:29 UTC

Soubor KML  |  InteraktivnĂ­ mapa

Mapa zobrazuje dráhy meteoru. Světlejší čáry ukazují směry od pozorovacích stanic při objevení se meteoru a tmavší čáry, kde byl naposledy viděn. Modrá šipka značí viditelnou dráhu meteoru.

static map
height profile
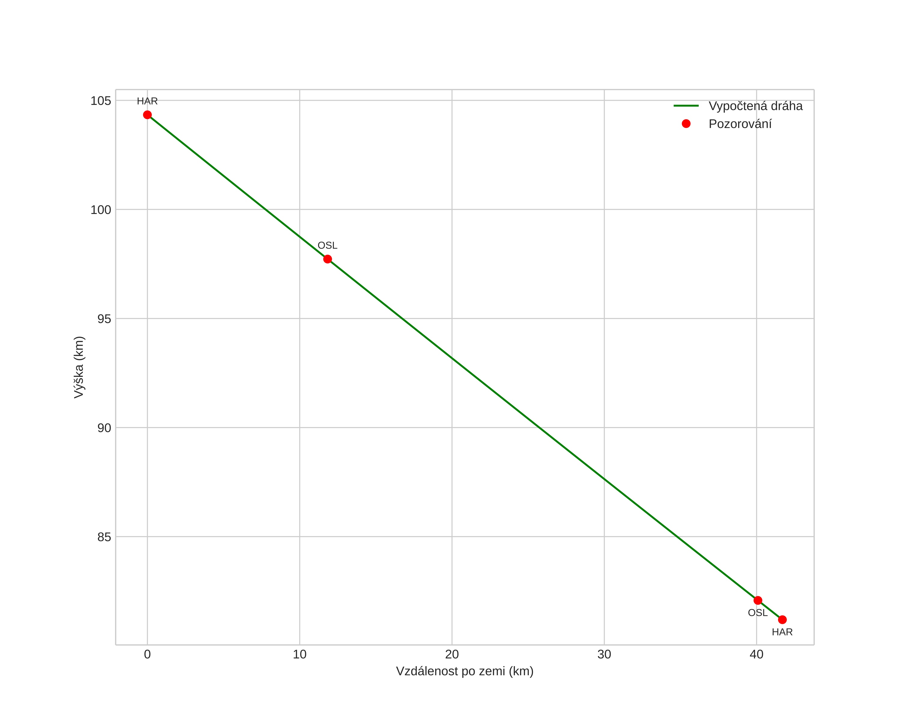
Atmosférická dráha meteoru:
Počáteční výška: 104,2 km
Konečná výška: 74,8 km
Počáteční poloha: 58,640N 6,328E
Konečná poloha: 59,049N 6,224E
Směr: 352,6°
Sklon: 32,7°
VstupnĂ­ rychlost: 60,6 km/s
Rektascenze radiantu: 15:38 (234,7°)
Deklinace radiantu: 1,1°
MeteorickĂ˝ roj: sporadickĂ˝
Elementy dráhy meteoroidu:
Vzdálenost v periheliu: 0,228 AU
Excentricita: 1,146
Sklon dráhy: 102,7°
Délka vzestupného uzlu: 14,2°
Argument perihelia: 296,4°
Střední anomálie: -15,8°
Epocha: 2025 APR 04 02:00:29
orbit plot

NeinteraktivnĂ­ graf | InteraktivnĂ­ graf

position vs time
speed and acceleration