🇳🇴 🇬🇧 🇩🇪 🇨🇿 🇫🇮

Meteor Österbybrukin yllä 2025-04-04 02:09:34 UTC

KML-tiedosto  |  Interaktiivinen kartta

Kartta näyttää meteorin suuntahavainnot. Vaaleammat viivat näyttävät suunnat havaintoasemilta meteorin ilmestyessä, ja tummemmat viivat näyttävät, missä se viimeksi nähtiin. Sininen nuoli näyttää meteorin näkyvän lennon.

static map
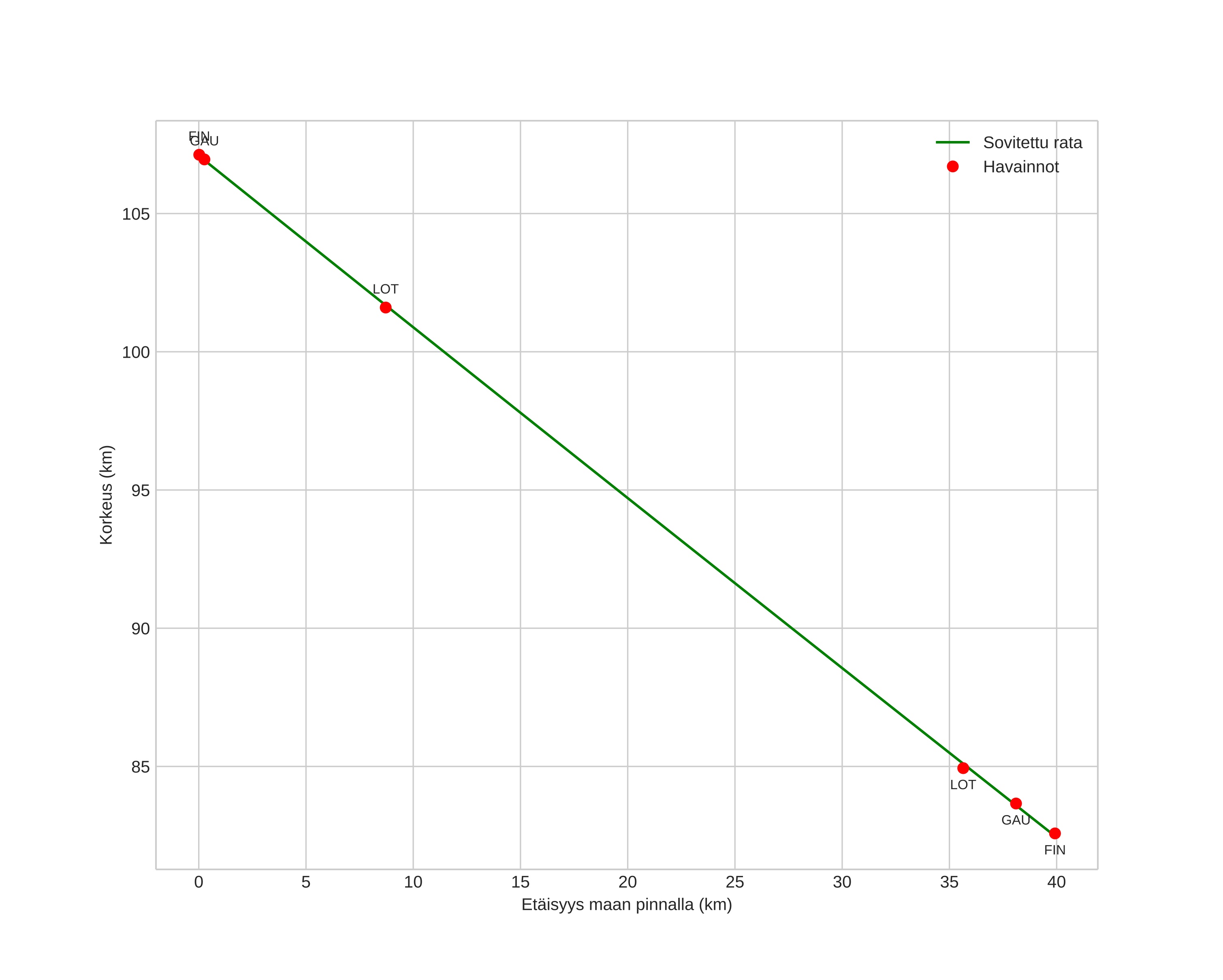
height profile
Meteorin ilmakehärata:
Alkukorkeus: 107,4 km
Loppukorkeus: 80,9 km
Alkupiste: 60,009N 17,982E
Loppupiste: 60,383N 17,886E
Suunta: 352,8°
Kallistuskulma: 32,3°
Tulonopeus: 60,2 km/s
Radiantin R,A,: 16:34 (248,5°)
Radiantin Dekl,: 2,0°
Meteoriparvi: Sporadinen
Meteoroidin rataelementit:
Perihelietäisyys: 0,412 AU
Eksentrisyys: 1,014
Inklinaatio: 118,8°
Nousevan solmun pituus: 14,2°
Perihelin argumentti: 279,7°
Keskianomalia: -0,2°
Epookki: 2025 APR 04 02:09:34
orbit plot

Ei-interaktiivinen kuvaaja | Interaktiivinen kuvaaja

position vs time
speed and acceleration