🇳🇴 🇬🇧 🇩🇪 🇨🇿 🇫🇮

Meteor, poloha: Treungen 2025-04-06 00:30:45 UTC

Soubor KML  |  InteraktivnĂ­ mapa

Mapa zobrazuje dráhy meteoru. Světlejší čáry ukazují směry od pozorovacích stanic při objevení se meteoru a tmavší čáry, kde byl naposledy viděn. Modrá šipka značí viditelnou dráhu meteoru.

static map
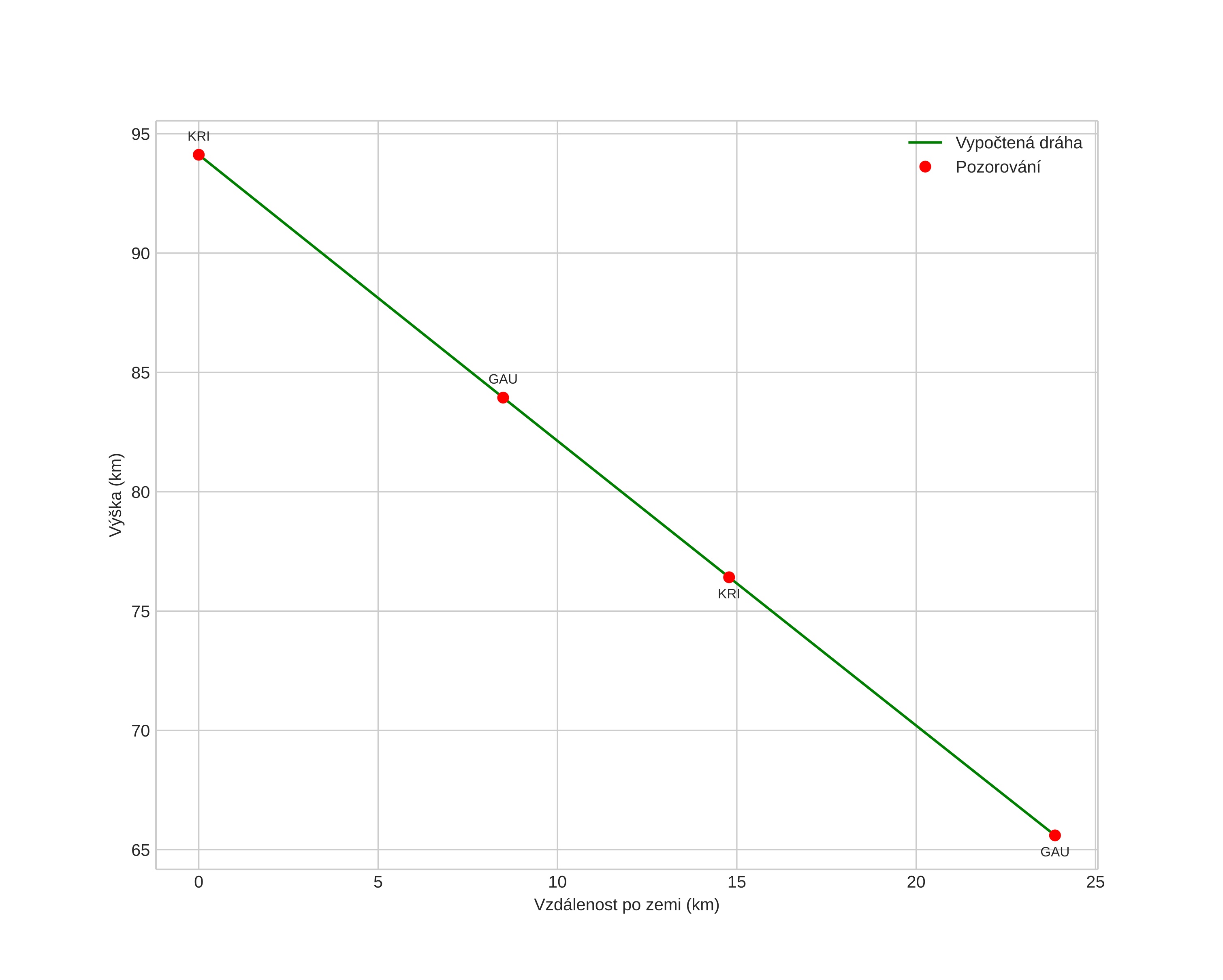
height profile
Atmosférická dráha meteoru:
Počáteční výška: 96,2 km
Konečná výška: 63,8 km
Počáteční poloha: 58,783N 8,357E
Konečná poloha: 58,998N 8,550E
Směr: 24,9°
Sklon: 50,9°
VstupnĂ­ rychlost: 22,5 km/s
Rektascenze radiantu: 12:49 (192,3°)
Deklinace radiantu: 18,7°
MeteorickĂ˝ roj: sporadickĂ˝
Elementy dráhy meteoroidu:
Vzdálenost v periheliu: 0,766 AU
Excentricita: 0,754
Sklon dráhy: 12,3°
Délka vzestupného uzlu: 16,1°
Argument perihelia: 242,9°
Střední anomálie: 353,0°
Epocha: 2025 APR 06 00:30:45
orbit plot

NeinteraktivnĂ­ graf | InteraktivnĂ­ graf

position vs time
speed and acceleration