🇳🇴 🇬🇧 🇩🇪 🇨🇿 🇫🇮

Meteor, poloha: Ă–stervĂĄla 2025-04-06 20:41:47 UTC

Soubor KML  |  InteraktivnĂ­ mapa

Mapa zobrazuje dráhy meteoru. Světlejší čáry ukazují směry od pozorovacích stanic při objevení se meteoru a tmavší čáry, kde byl naposledy viděn. Modrá šipka značí viditelnou dráhu meteoru.

static map
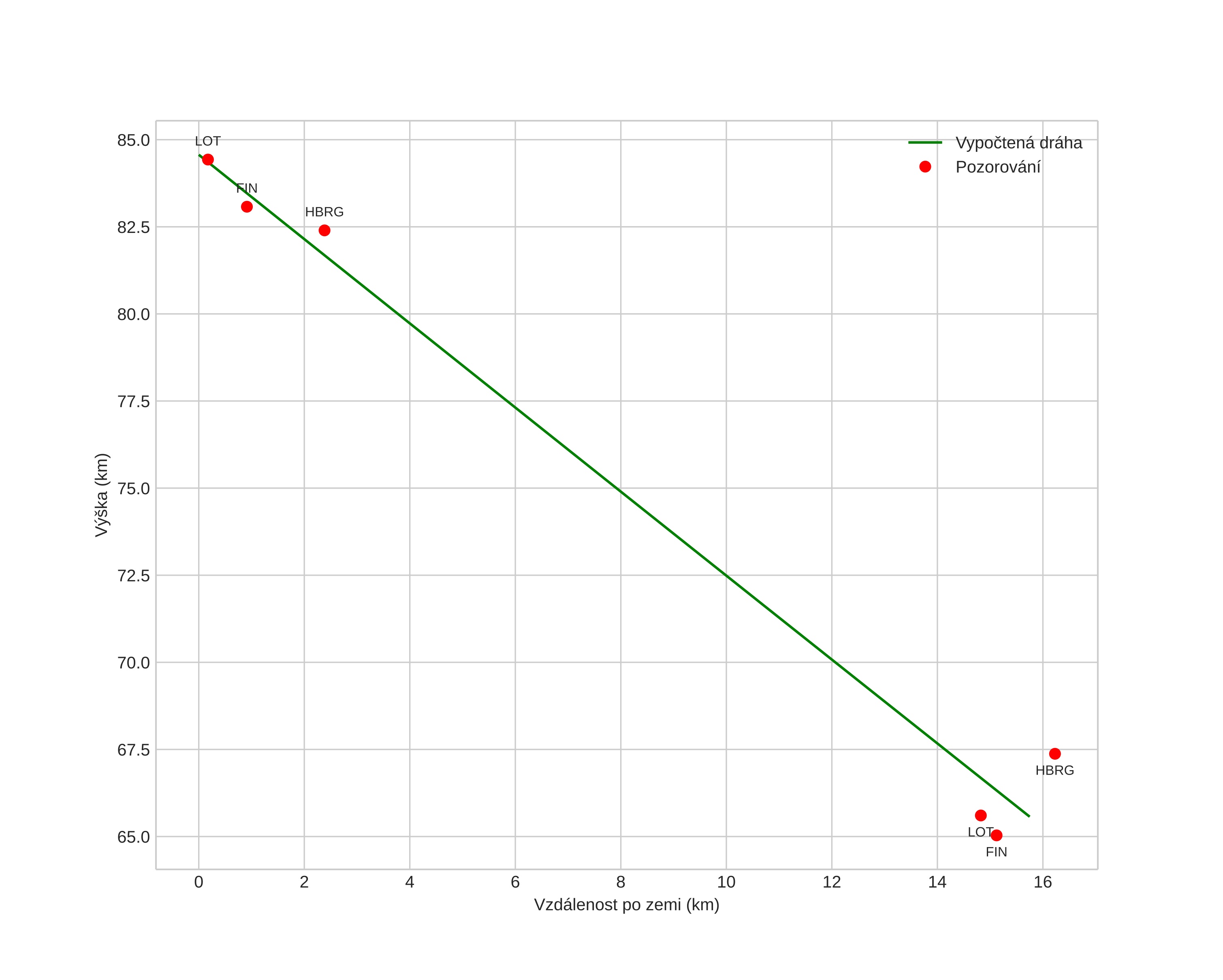
height profile
Atmosférická dráha meteoru:
Počáteční výška: 81,1 km
Konečná výška: 62,7 km
Počáteční poloha: 60,108N 17,462E
Konečná poloha: 60,021N 17,233E
Směr: 232,9°
Sklon: 49,0°
VstupnĂ­ rychlost: 31,2 km/s
Rektascenze radiantu: 16:44 (251,2°)
Deklinace radiantu: 57,8°
MeteorickĂ˝ roj: sporadickĂ˝
Elementy dráhy meteoroidu:
Vzdálenost v periheliu: 0,981 AU
Excentricita: 0,811
Sklon dráhy: 45,7°
Délka vzestupného uzlu: 16,9°
Argument perihelia: 197,2°
Střední anomálie: 358,9°
Epocha: 2025 APR 06 20:41:47
orbit plot

NeinteraktivnĂ­ graf | InteraktivnĂ­ graf

position vs time
speed and acceleration