🇳🇴 🇬🇧 🇩🇪 🇨🇿 🇫🇮

Meteor, poloha: Torsby 2025-04-07 01:47:23 UTC

Soubor KML  |  InteraktivnĂ­ mapa

Mapa zobrazuje dráhy meteoru. Světlejší čáry ukazují směry od pozorovacích stanic při objevení se meteoru a tmavší čáry, kde byl naposledy viděn. Modrá šipka značí viditelnou dráhu meteoru.

static map
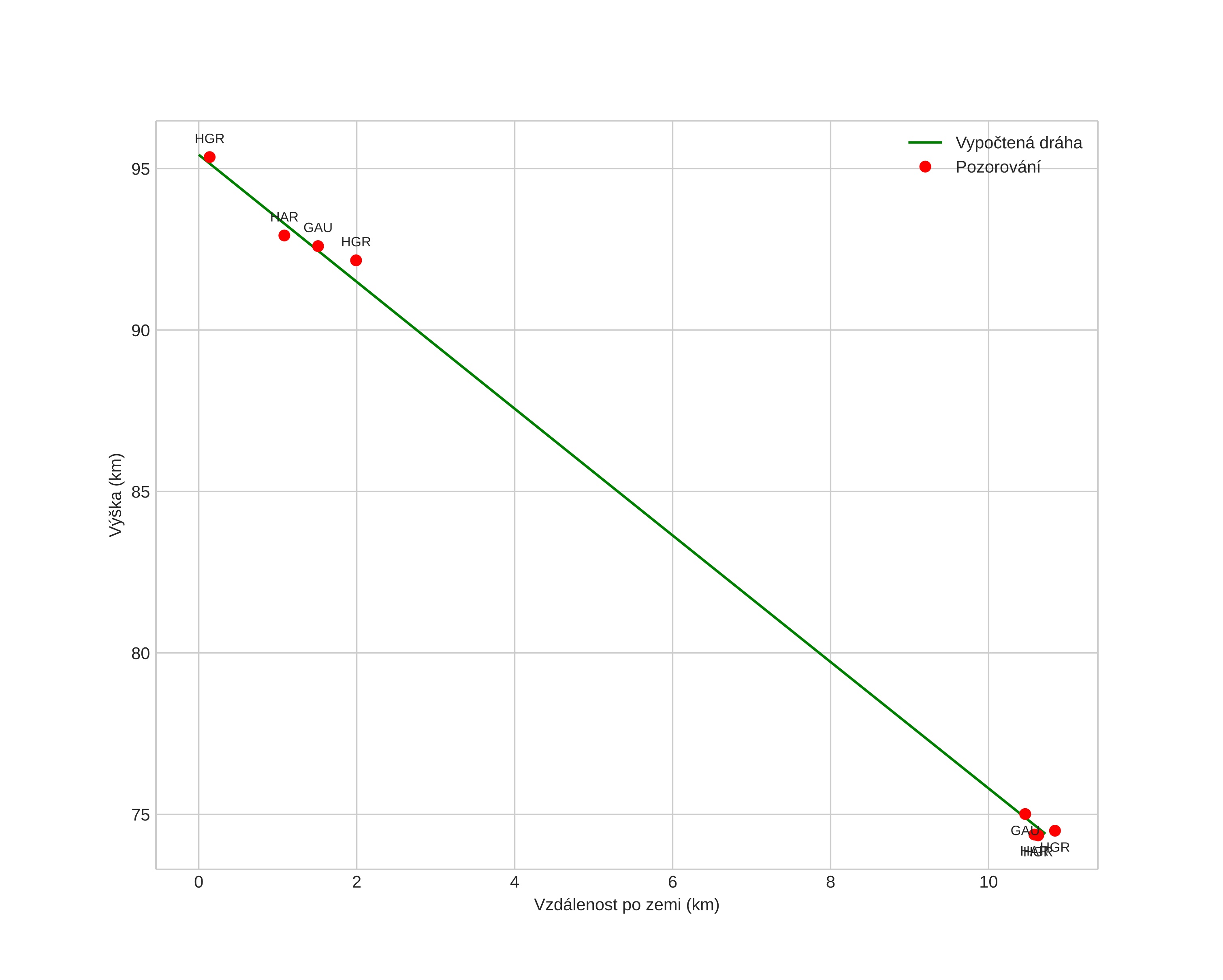
height profile
Atmosférická dráha meteoru:
Počáteční výška: 100,3 km
Konečná výška: 74,5 km
Počáteční poloha: 60,244N 12,899E
Konečná poloha: 60,151N 12,745E
Směr: 219,5°
Sklon: 62,6°
VstupnĂ­ rychlost: 24,9 km/s
Rektascenze radiantu: 20:18 (304,7°)
Deklinace radiantu: 71,3°
MeteorickĂ˝ roj: sporadickĂ˝
Elementy dráhy meteoroidu:
Vzdálenost v periheliu: 0,978 AU
Excentricita: 0,681
Sklon dráhy: 34,6°
Délka vzestupného uzlu: 17,2°
Argument perihelia: 160,6°
Střední anomálie: 2,7°
Epocha: 2025 APR 07 01:47:23
orbit plot

NeinteraktivnĂ­ graf | InteraktivnĂ­ graf

position vs time
speed and acceleration