🇳🇴 🇬🇧 🇩🇪 🇨🇿 🇫🇮

Meteor, poloha: Sandefjord 2025-04-09 00:03:40 UTC

Soubor KML  |  InteraktivnĂ­ mapa

Mapa zobrazuje dráhy meteoru. Světlejší čáry ukazují směry od pozorovacích stanic při objevení se meteoru a tmavší čáry, kde byl naposledy viděn. Modrá šipka značí viditelnou dráhu meteoru.

static map
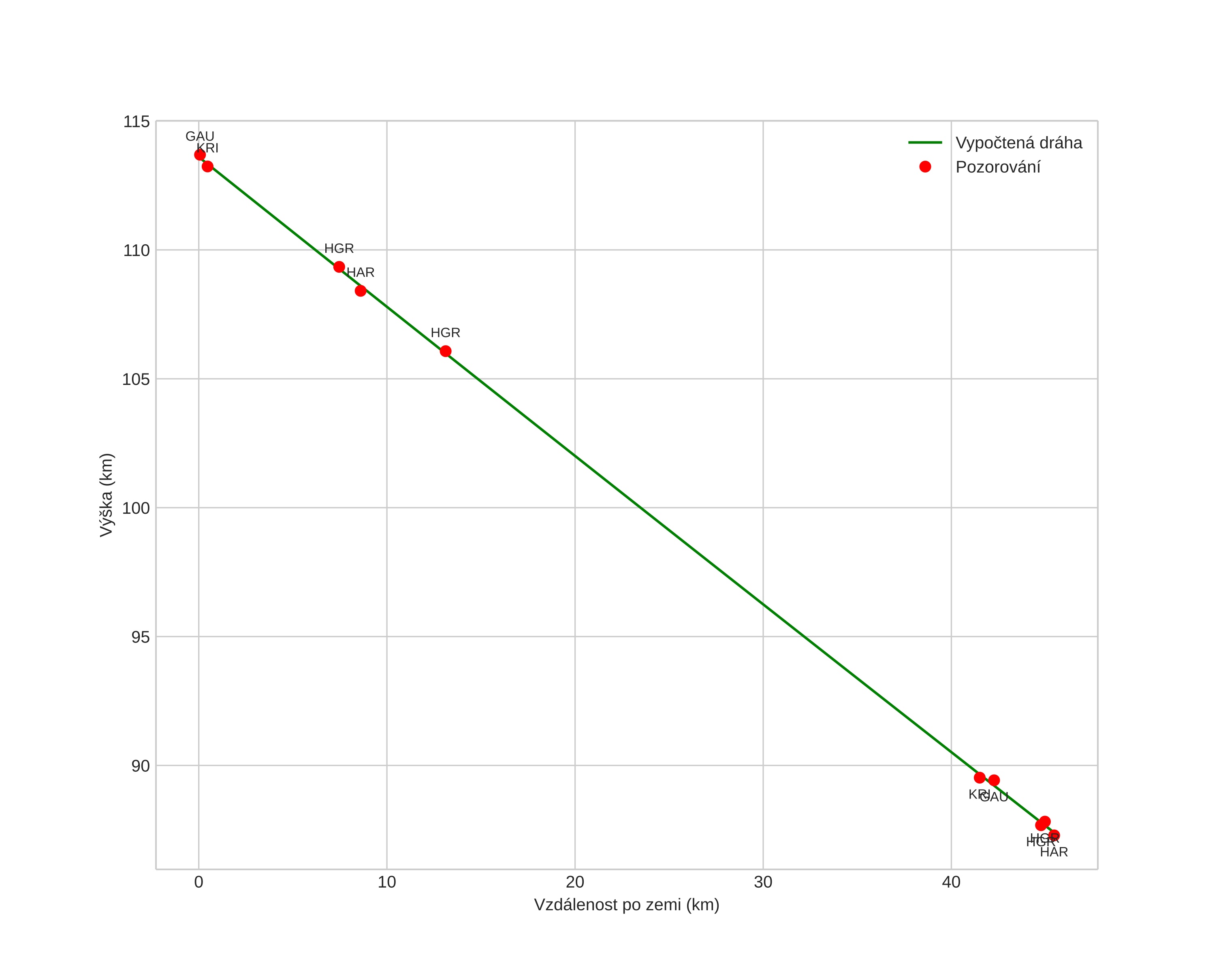
height profile
Atmosférická dráha meteoru:
Počáteční výška: 114,1 km
Konečná výška: 87,7 km
Počáteční poloha: 59,277N 10,992E
Konečná poloha: 59,188N 10,191E
Směr: 258,2°
Sklon: 29,5°
VstupnĂ­ rychlost: 51,8 km/s
Rektascenze radiantu: 19:31 (292,9°)
Deklinace radiantu: 30,4°
MeteorickĂ˝ roj: sporadickĂ˝
Elementy dráhy meteoroidu:
Vzdálenost v periheliu: 0,960 AU
Excentricita: 0,824
Sklon dráhy: 91,4°
Délka vzestupného uzlu: 19,0°
Argument perihelia: 155,2°
Střední anomálie: 1,4°
Epocha: 2025 APR 09 00:03:40
orbit plot

NeinteraktivnĂ­ graf | InteraktivnĂ­ graf

position vs time
speed and acceleration