🇳🇴 🇬🇧 🇩🇪 🇨🇿 🇫🇮

Meteor, poloha: SkĂĄlevik 2025-04-09 20:03:20 UTC

Soubor KML  |  InteraktivnĂ­ mapa

Mapa zobrazuje dráhy meteoru. Světlejší čáry ukazují směry od pozorovacích stanic při objevení se meteoru a tmavší čáry, kde byl naposledy viděn. Modrá šipka značí viditelnou dráhu meteoru.

static map
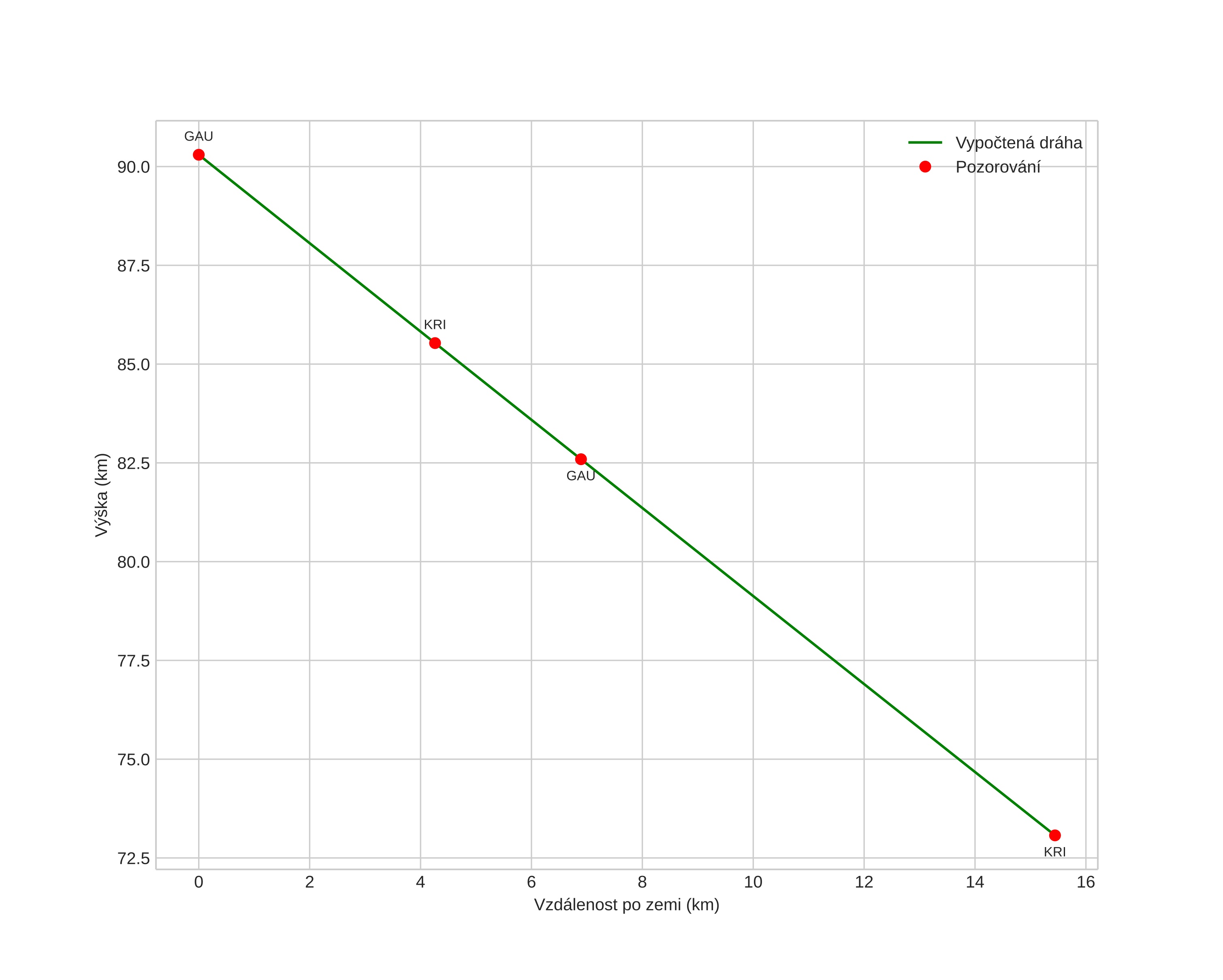
height profile
Atmosférická dráha meteoru:
Počáteční výška: 90,4 km
Konečná výška: 73,0 km
Počáteční poloha: 58,010N 8,118E
Konečná poloha: 57,931N 7,902E
Směr: 235,5°
Sklon: 48,3°
VstupnĂ­ rychlost: 28,7 km/s
Rektascenze radiantu: 15:25 (231,4°)
Deklinace radiantu: 55,7°
MeteorickĂ˝ roj: sporadickĂ˝
Elementy dráhy meteoroidu:
Vzdálenost v periheliu: 0,950 AU
Excentricita: 0,863
Sklon dráhy: 38,4°
Délka vzestupného uzlu: 19,9°
Argument perihelia: 207,4°
Střední anomálie: 358,9°
Epocha: 2025 APR 09 20:03:20
orbit plot

NeinteraktivnĂ­ graf | InteraktivnĂ­ graf

position vs time
speed and acceleration