🇳🇴 🇬🇧 🇩🇪 🇨🇿 🇫🇮

Meteor, poloha: Kragerø 2025-04-09 23:25:45 UTC

Soubor KML  |  InteraktivnĂ­ mapa

Mapa zobrazuje dráhy meteoru. Světlejší čáry ukazují směry od pozorovacích stanic při objevení se meteoru a tmavší čáry, kde byl naposledy viděn. Modrá šipka značí viditelnou dráhu meteoru.

static map
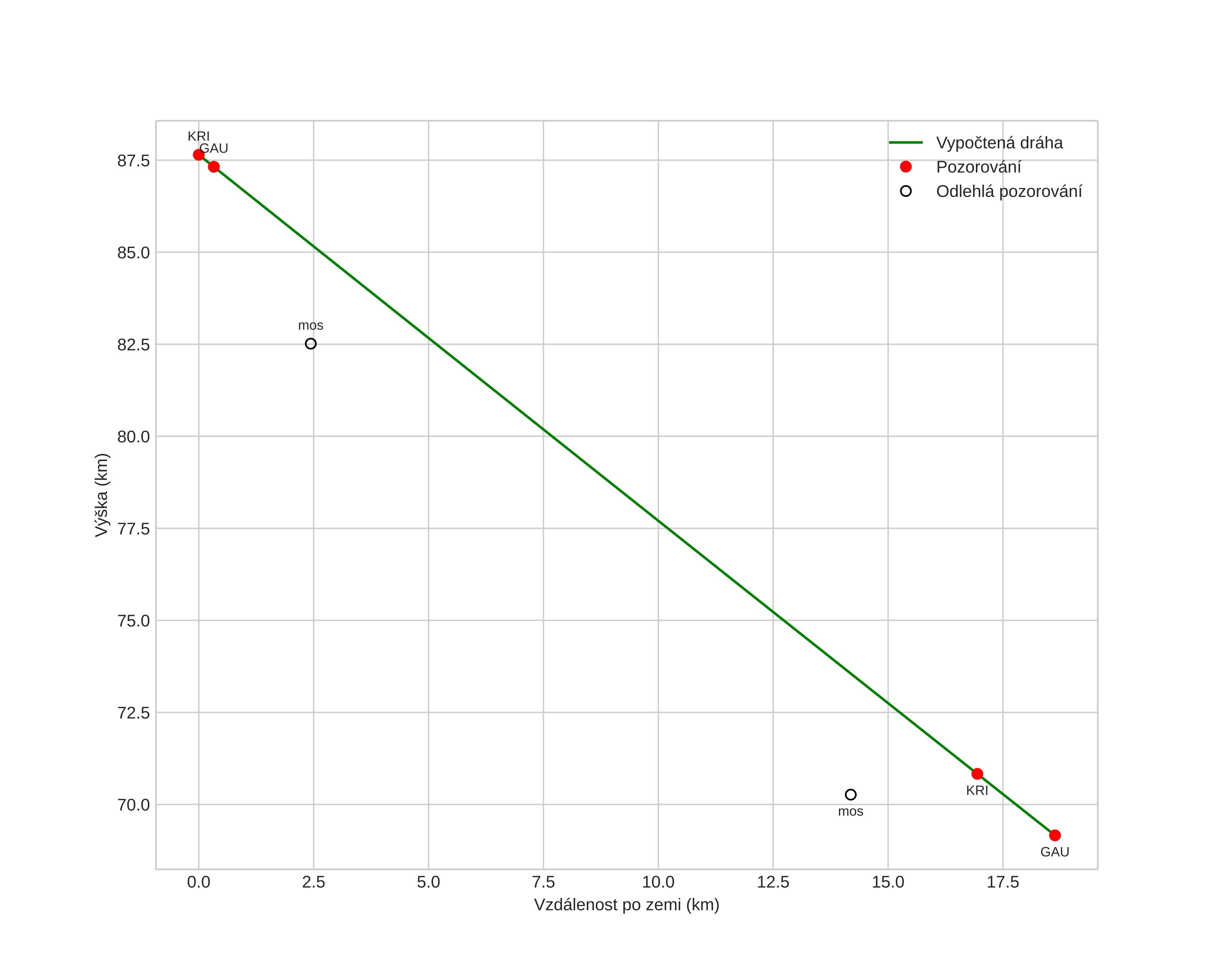
height profile
Atmosférická dráha meteoru:
Počáteční výška: 92,4 km
Konečná výška: 69,6 km
Počáteční poloha: 59,019N 9,197E
Konečná poloha: 58,842N 9,424E
Směr: 146,5°
Sklon: 44,1°
VstupnĂ­ rychlost: 15,2 km/s
Rektascenze radiantu: 05:07 (77,0°)
Deklinace radiantu: 56,7°
MeteorickĂ˝ roj: sporadickĂ˝
Elementy dráhy meteoroidu:
Vzdálenost v periheliu: 0,983 AU
Excentricita: 0,651
Sklon dráhy: 8,9°
Délka vzestupného uzlu: 20,0°
Argument perihelia: 162,1°
Střední anomálie: 2,9°
Epocha: 2025 APR 09 23:25:45
orbit plot

NeinteraktivnĂ­ graf | InteraktivnĂ­ graf

position vs time
speed and acceleration