🇳🇴 🇬🇧 🇩🇪 🇨🇿 🇫🇮

Meteor, poloha: Prestestranda 2025-04-10 22:51:19 UTC

Soubor KML  |  InteraktivnĂ­ mapa

Mapa zobrazuje dráhy meteoru. Světlejší čáry ukazují směry od pozorovacích stanic při objevení se meteoru a tmavší čáry, kde byl naposledy viděn. Modrá šipka značí viditelnou dráhu meteoru.

static map
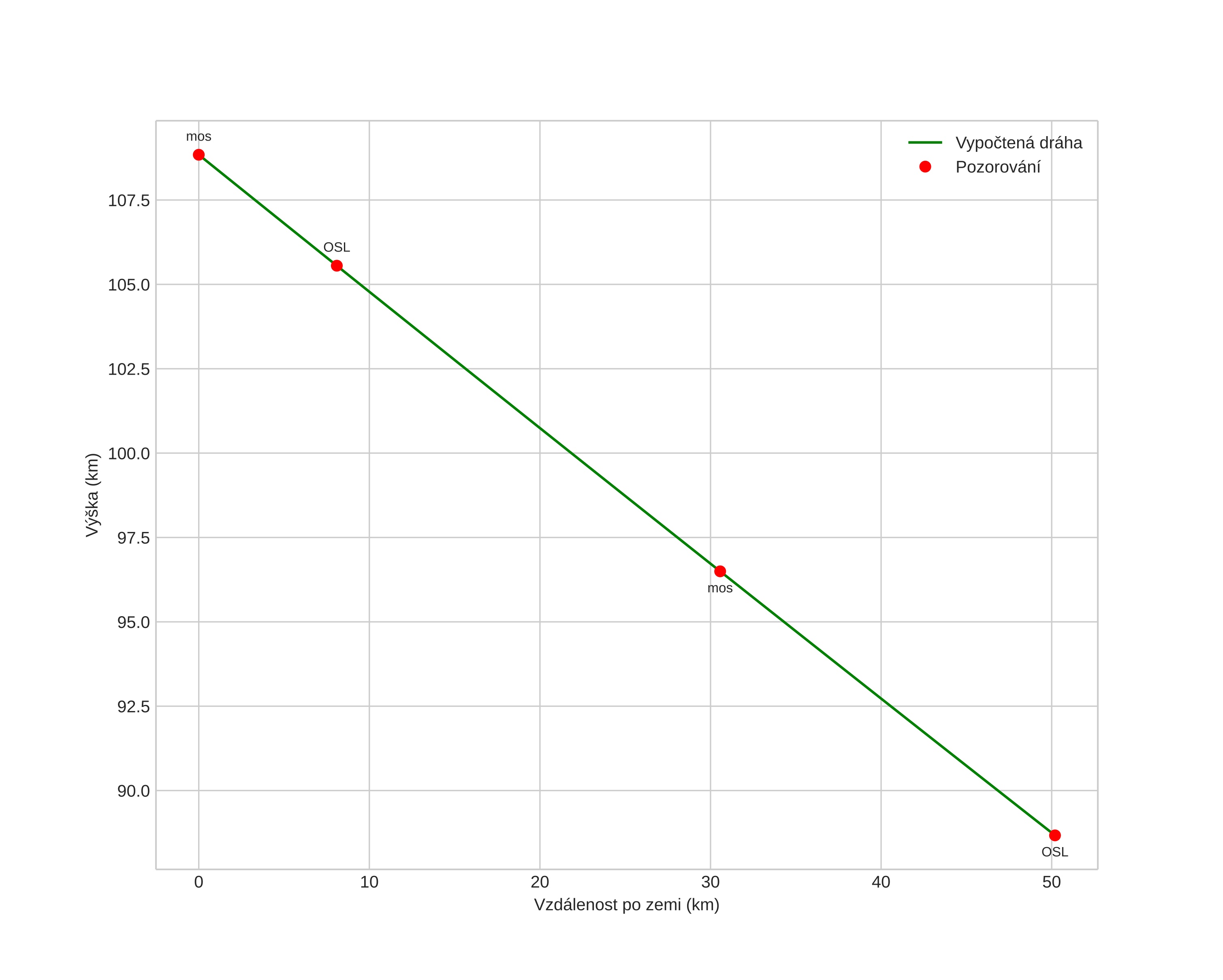
height profile
Atmosférická dráha meteoru:
Počáteční výška: 111,7 km
Konečná výška: 91,5 km
Počáteční poloha: 59,392N 9,748E
Konečná poloha: 59,119N 9,047E
Směr: 232,9°
Sklon: 21,9°
VstupnĂ­ rychlost: 49,4 km/s
Rektascenze radiantu: 20:15 (303,9°)
Deklinace radiantu: 36,5°
MeteorickĂ˝ roj: sporadickĂ˝
Elementy dráhy meteoroidu:
Vzdálenost v periheliu: 0,886 AU
Excentricita: 0,968
Sklon dráhy: 82,4°
Délka vzestupného uzlu: 21,0°
Argument perihelia: 139,8°
Střední anomálie: 0,2°
Epocha: 2025 APR 10 22:51:19
orbit plot

NeinteraktivnĂ­ graf | InteraktivnĂ­ graf

position vs time
speed and acceleration