🇳🇴 🇬🇧 🇩🇪 🇨🇿 🇫🇮

Meteor, poloha: Mo 2025-04-10 22:55:16 UTC

Soubor KML  |  InteraktivnĂ­ mapa

Mapa zobrazuje dráhy meteoru. Světlejší čáry ukazují směry od pozorovacích stanic při objevení se meteoru a tmavší čáry, kde byl naposledy viděn. Modrá šipka značí viditelnou dráhu meteoru.

static map
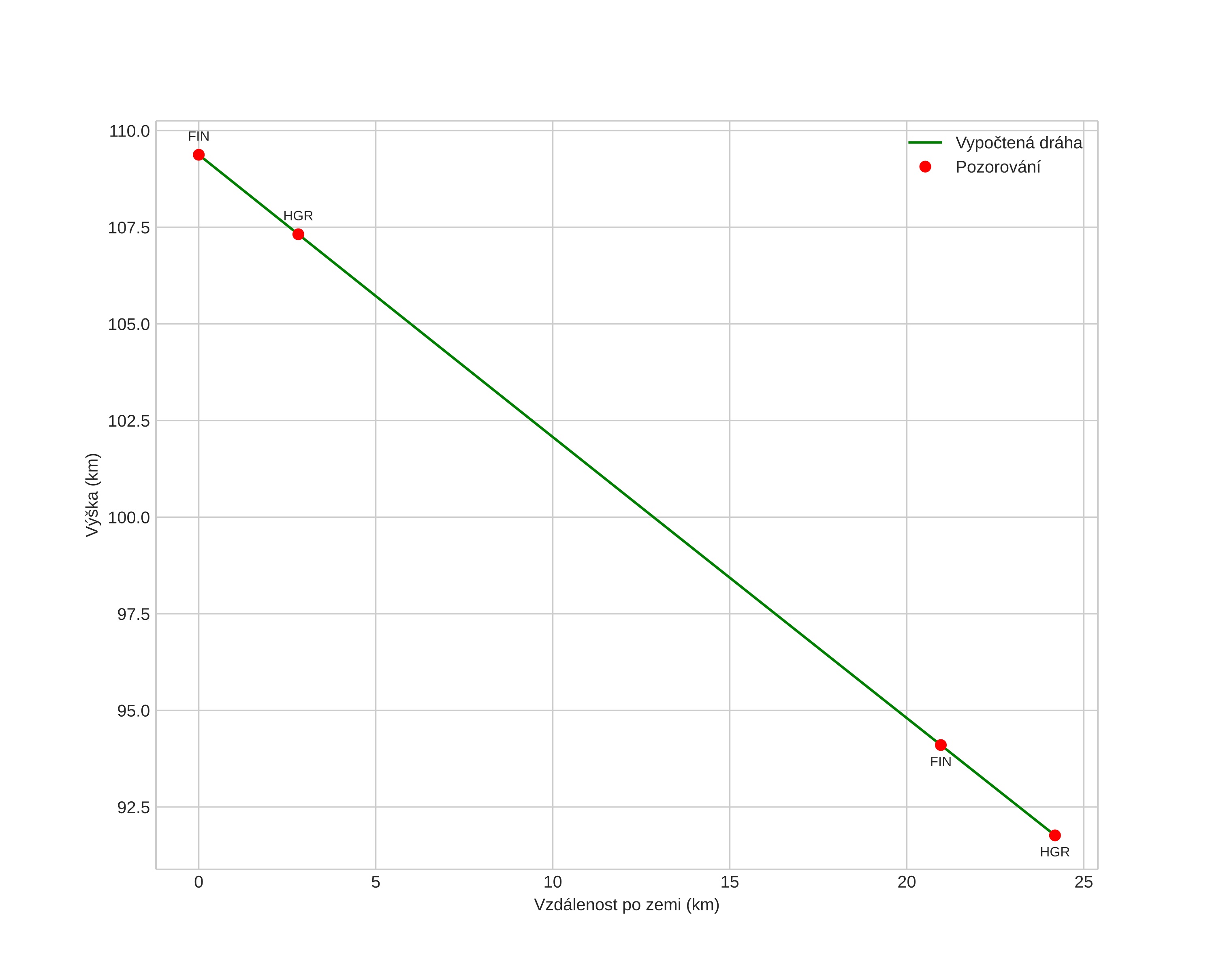
height profile
Atmosférická dráha meteoru:
Počáteční výška: 109,3 km
Konečná výška: 92,5 km
Počáteční poloha: 60,650N 6,266E
Konečná poloha: 60,702N 5,767E
Směr: 282,2°
Sklon: 31,1°
VstupnĂ­ rychlost: 45,4 km/s
Rektascenze radiantu: 16:53 (253,3°)
Deklinace radiantu: 20,4°
MeteorickĂ˝ roj: sporadickĂ˝
Elementy dráhy meteoroidu:
Vzdálenost v periheliu: 0,600 AU
Excentricita: 0,727
Sklon dráhy: 78,7°
Délka vzestupného uzlu: 21,0°
Argument perihelia: 267,4°
Střední anomálie: 346,1°
Epocha: 2025 APR 10 22:55:16
orbit plot

NeinteraktivnĂ­ graf | InteraktivnĂ­ graf

position vs time
speed and acceleration