🇳🇴 🇬🇧 🇩🇪 🇨🇿 🇫🇮

Meteor, poloha: Notodden 2025-04-11 00:13:48 UTC

Soubor KML  |  InteraktivnĂ­ mapa

Mapa zobrazuje dráhy meteoru. Světlejší čáry ukazují směry od pozorovacích stanic při objevení se meteoru a tmavší čáry, kde byl naposledy viděn. Modrá šipka značí viditelnou dráhu meteoru.

static map
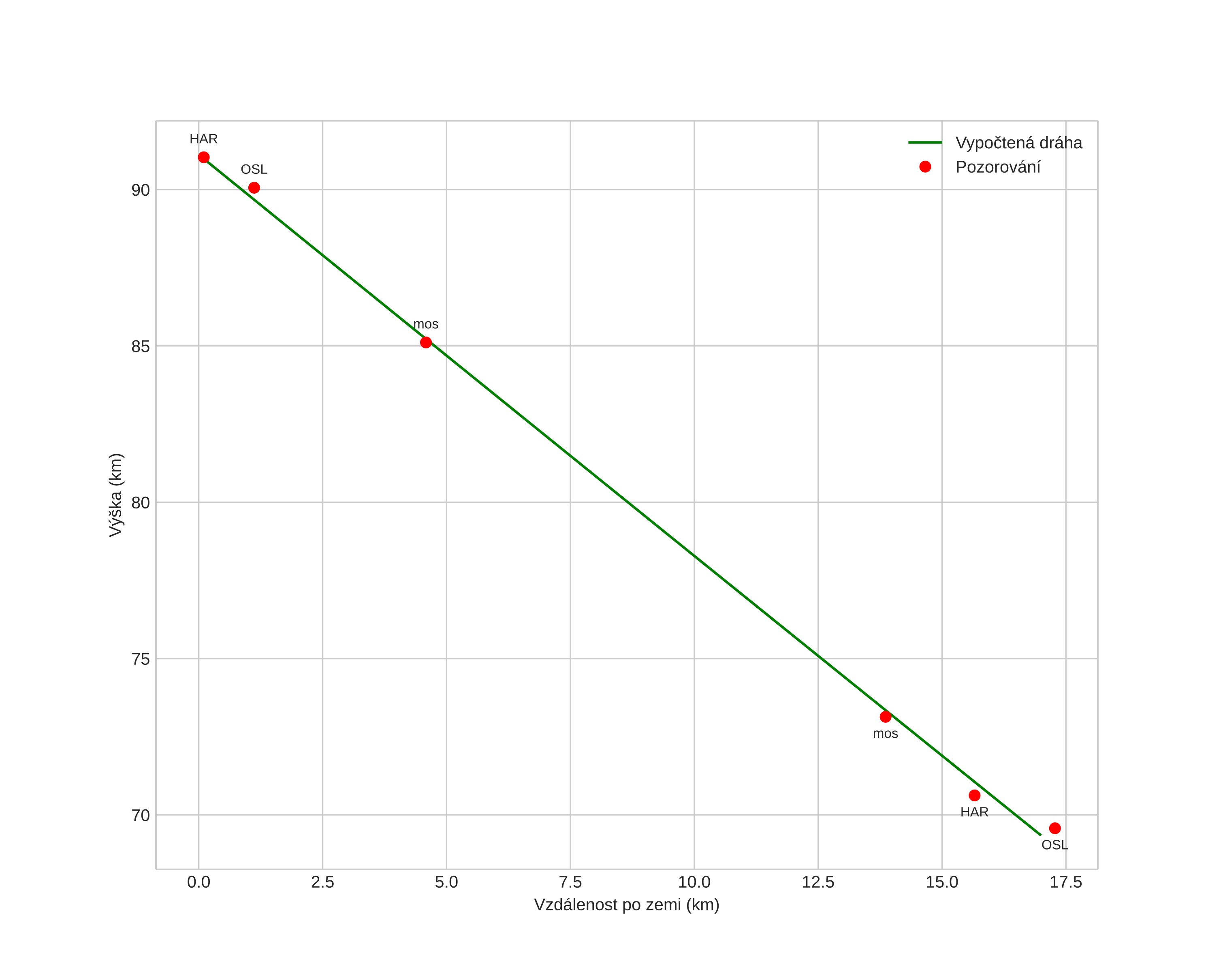
height profile
Atmosférická dráha meteoru:
Počáteční výška: 91,5 km
Konečná výška: 69,4 km
Počáteční poloha: 59,607N 9,287E
Konečná poloha: 59,759N 9,293E
Směr: 1,3°
Sklon: 52,6°
VstupnĂ­ rychlost: 24,8 km/s
Rektascenze radiantu: 14:01 (210,4°)
Deklinace radiantu: 20,1°
MeteorickĂ˝ roj: sporadickĂ˝
Elementy dráhy meteoroidu:
Vzdálenost v periheliu: 0,684 AU
Excentricita: 0,692
Sklon dráhy: 20,4°
Délka vzestupného uzlu: 21,0°
Argument perihelia: 257,1°
Střední anomálie: 346,6°
Epocha: 2025 APR 11 00:13:48
orbit plot

NeinteraktivnĂ­ graf | InteraktivnĂ­ graf

position vs time
speed and acceleration