🇳🇴 🇬🇧 🇩🇪 🇨🇿 🇫🇮

Meteor Haldenin yllä 2025-04-25 23:41:39 UTC

KML-tiedosto  |  Interaktiivinen kartta

Kartta näyttää meteorin suuntahavainnot. Vaaleammat viivat näyttävät suunnat havaintoasemilta meteorin ilmestyessä, ja tummemmat viivat näyttävät, missä se viimeksi nähtiin. Sininen nuoli näyttää meteorin näkyvän lennon.

static map
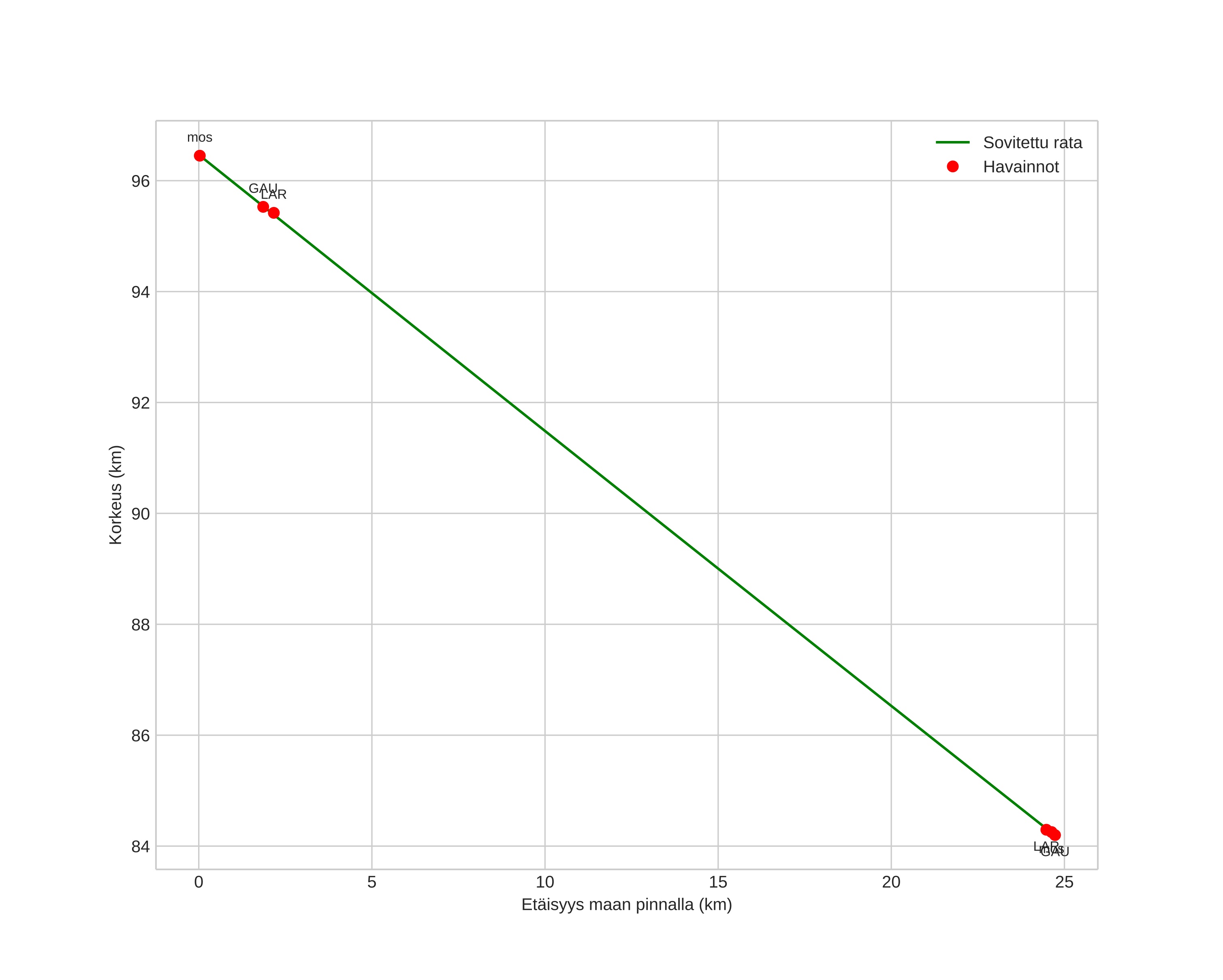
height profile
Meteorin ilmakehärata:
Alkukorkeus: 96,6 km
Loppukorkeus: 84,2 km
Alkupiste: 59,032N 11,399E
Loppupiste: 59,256N 11,425E
Suunta: 3,4°
Kallistuskulma: 26,5°
Tulonopeus: 27,5 km/s
Radiantin R,A,: 14:28 (217,0°)
Radiantin Dekl,: -7,5°
Meteoriparvi: Sporadinen
Meteoroidin rataelementit:
Perihelietäisyys: 0,535 AU
Eksentrisyys: 0,810
Inklinaatio: 5,8°
Nousevan solmun pituus: 35,7°
Perihelin argumentti: 272,7°
Keskianomalia: 350,7°
Epookki: 2025 APR 25 23:41:39
orbit plot

Ei-interaktiivinen kuvaaja | Interaktiivinen kuvaaja

position vs time
speed and acceleration