🇳🇴 🇬🇧 🇩🇪 🇨🇿 🇫🇮

Meteor Rjukanin yllä 2025-04-26 20:40:45 UTC

KML-tiedosto  |  Interaktiivinen kartta

Kartta näyttää meteorin suuntahavainnot. Vaaleammat viivat näyttävät suunnat havaintoasemilta meteorin ilmestyessä, ja tummemmat viivat näyttävät, missä se viimeksi nähtiin. Sininen nuoli näyttää meteorin näkyvän lennon.

static map
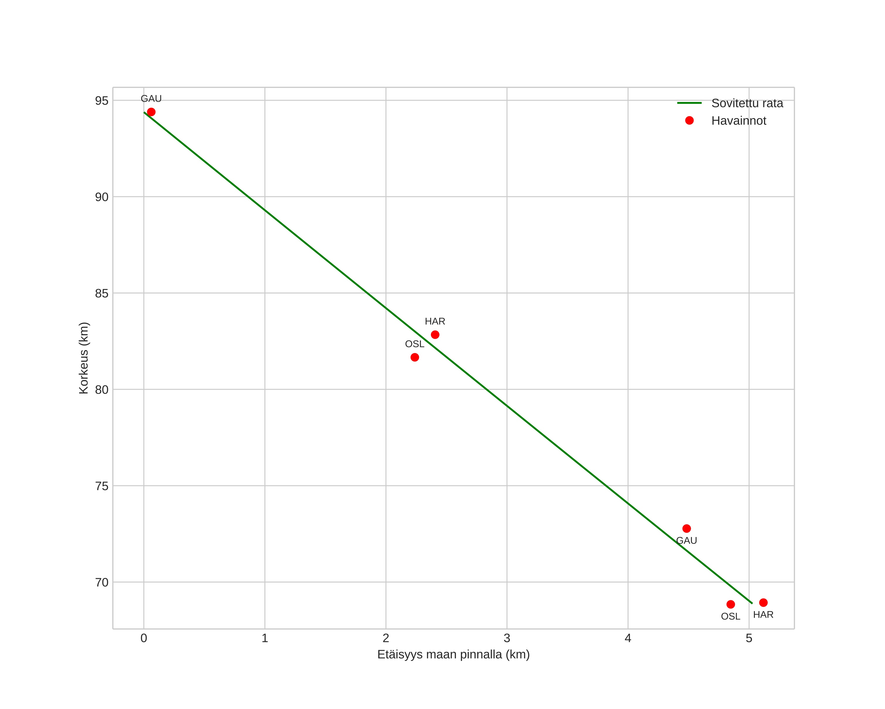
height profile
Meteorin ilmakehärata:
Alkukorkeus: 99,1 km
Loppukorkeus: 68,8 km
Alkupiste: 60,033N 8,230E
Loppupiste: 59,995N 8,181E
Suunta: 212,7°
Kallistuskulma: 80,7°
Tulonopeus: 30,1 km/s
Radiantin R,A,: 12:22 (185,7°)
Radiantin Dekl,: 67,7°
Meteoriparvi: Sporadinen
Meteoroidin rataelementit:
Perihelietäisyys: 1,004 AU
Eksentrisyys: 1,805
Inklinaatio: 29,1°
Nousevan solmun pituus: 36,5°
Perihelin argumentti: 184,4°
Keskianomalia: -1,9°
Epookki: 2025 APR 26 20:40:45
orbit plot

Ei-interaktiivinen kuvaaja | Interaktiivinen kuvaaja

position vs time
speed and acceleration

Gaustatoppen (GAU) cam6


gnomonic
Videot:
• Gnomoninen
• Gnomoninen koordinaateilla
• Alkuperäinen
• Alkuperäinen koordinaateilla
Kuvat:
• Gnomoninen
• Gnomoninen koordinaateilla
• Gnomoninen merkinnöillä
• Alkuperäinen
• Alkuperäinen koordinaateilla
Tekstitiedostot:
• Havaintoraportti
• Observaatio
• Koordinaatit
• Loki
Kirkkaus

Harestua (HAR) cam5


gnomonic
Videot:
• Gnomoninen
• Gnomoninen koordinaateilla
• Alkuperäinen
• Alkuperäinen koordinaateilla
Kuvat:
• Gnomoninen
• Gnomoninen koordinaateilla
• Gnomoninen merkinnöillä
• Alkuperäinen
• Alkuperäinen koordinaateilla
Tekstitiedostot:
• Havaintoraportti
• Observaatio
• Koordinaatit
• Loki
Kirkkaus