🇳🇴 🇬🇧 🇩🇪 🇨🇿 🇫🇮

Meteor, poloha: Ă…motfors 2025-04-26 21:38:14 UTC

Soubor KML  |  InteraktivnĂ­ mapa

Mapa zobrazuje dráhy meteoru. Světlejší čáry ukazují směry od pozorovacích stanic při objevení se meteoru a tmavší čáry, kde byl naposledy viděn. Modrá šipka značí viditelnou dráhu meteoru.

static map
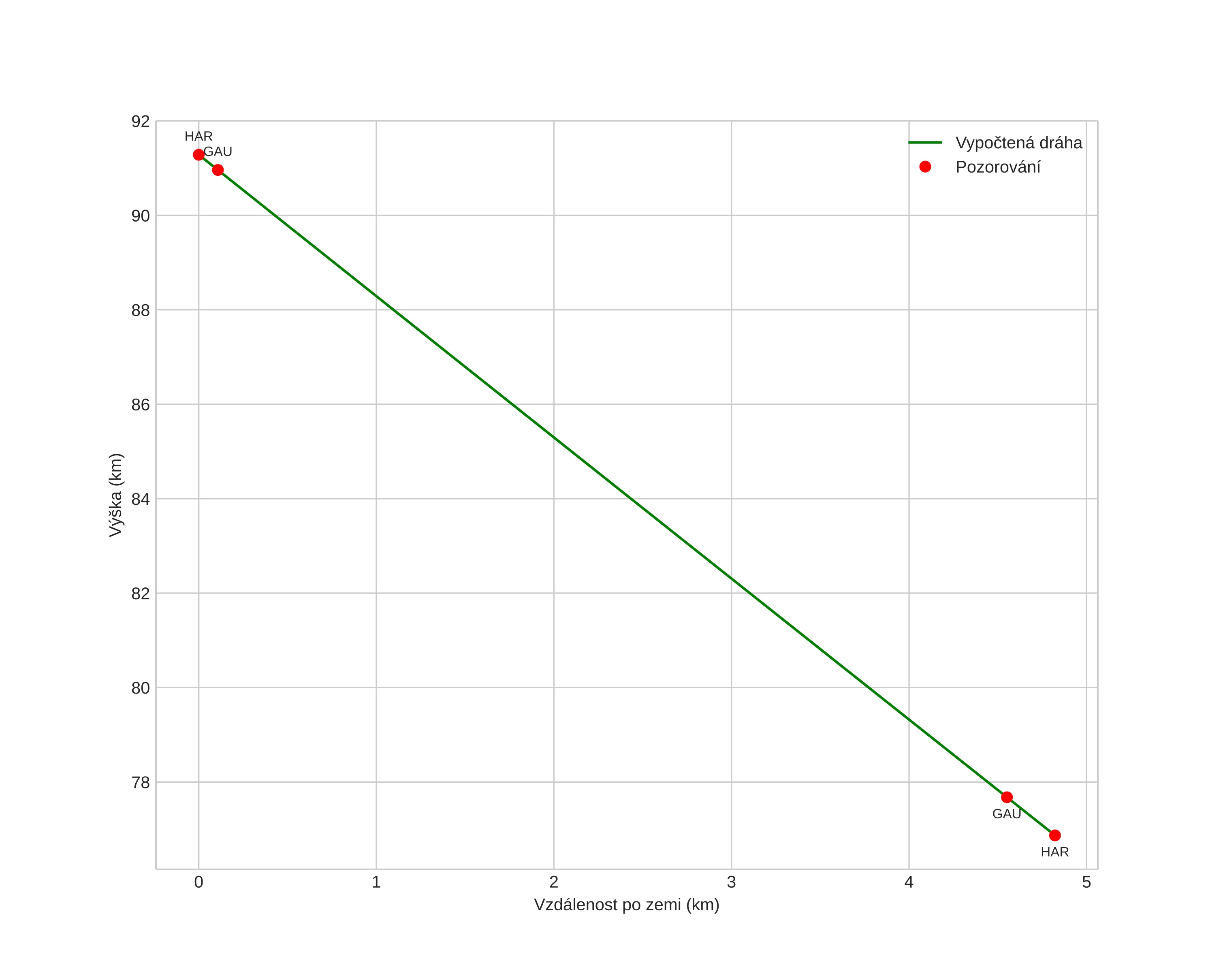
height profile
Atmosférická dráha meteoru:
Počáteční výška: 91,8 km
Konečná výška: 77,4 km
Počáteční poloha: 59,776N 12,175E
Konečná poloha: 59,733N 12,157E
Směr: 192,6°
Sklon: 71,5°
VstupnĂ­ rychlost: 19,6 km/s
Rektascenze radiantu: 14:03 (210,8°)
Deklinace radiantu: 79,0°
MeteorickĂ˝ roj: sporadickĂ˝
Elementy dráhy meteoroidu:
Vzdálenost v periheliu: 1,005 AU
Excentricita: 0,657
Sklon dráhy: 23,3°
Délka vzestupného uzlu: 36,6°
Argument perihelia: 175,4°
Střední anomálie: 0,7°
Epocha: 2025 APR 26 21:38:14
orbit plot

NeinteraktivnĂ­ graf | InteraktivnĂ­ graf

position vs time
speed and acceleration