🇳🇴 🇬🇧 🇩🇪 🇨🇿 🇫🇮

Meteor, poloha: Grua 2025-04-26 22:51:06 UTC

Soubor KML  |  InteraktivnĂ­ mapa

Mapa zobrazuje dráhy meteoru. Světlejší čáry ukazují směry od pozorovacích stanic při objevení se meteoru a tmavší čáry, kde byl naposledy viděn. Modrá šipka značí viditelnou dráhu meteoru.

static map
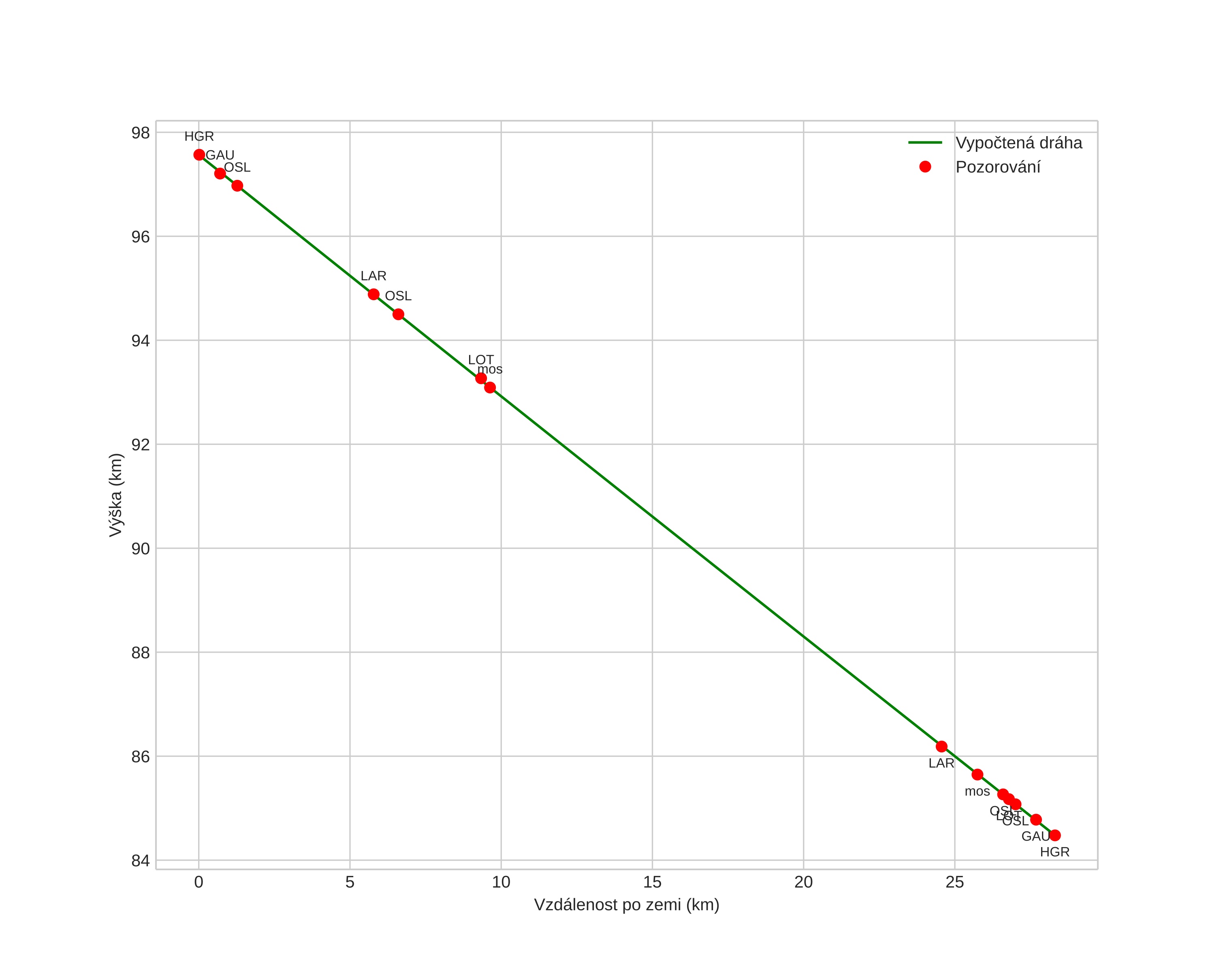
height profile
Atmosférická dráha meteoru:
Počáteční výška: 97,6 km
Konečná výška: 84,8 km
Počáteční poloha: 60,031N 10,678E
Konečná poloha: 60,278N 10,723E
Směr: 5,2°
Sklon: 24,9°
VstupnĂ­ rychlost: 22,0 km/s
Rektascenze radiantu: 13:30 (202,6°)
Deklinace radiantu: -10,2°
MeteorickĂ˝ roj: sporadickĂ˝
Elementy dráhy meteoroidu:
Vzdálenost v periheliu: 0,736 AU
Excentricita: 0,742
Sklon dráhy: 0,4°
Délka vzestupného uzlu: 216,3°
Argument perihelia: 68,6°
Střední anomálie: 351,5°
Epocha: 2025 APR 26 22:51:06
orbit plot

NeinteraktivnĂ­ graf | InteraktivnĂ­ graf

position vs time
speed and acceleration