🇳🇴 🇬🇧 🇩🇪 🇨🇿 🇫🇮

Meteor, poloha: Lærdalsøyri 2025-04-27 01:12:19 UTC

Soubor KML  |  InteraktivnĂ­ mapa

Mapa zobrazuje dráhy meteoru. Světlejší čáry ukazují směry od pozorovacích stanic při objevení se meteoru a tmavší čáry, kde byl naposledy viděn. Modrá šipka značí viditelnou dráhu meteoru.

static map
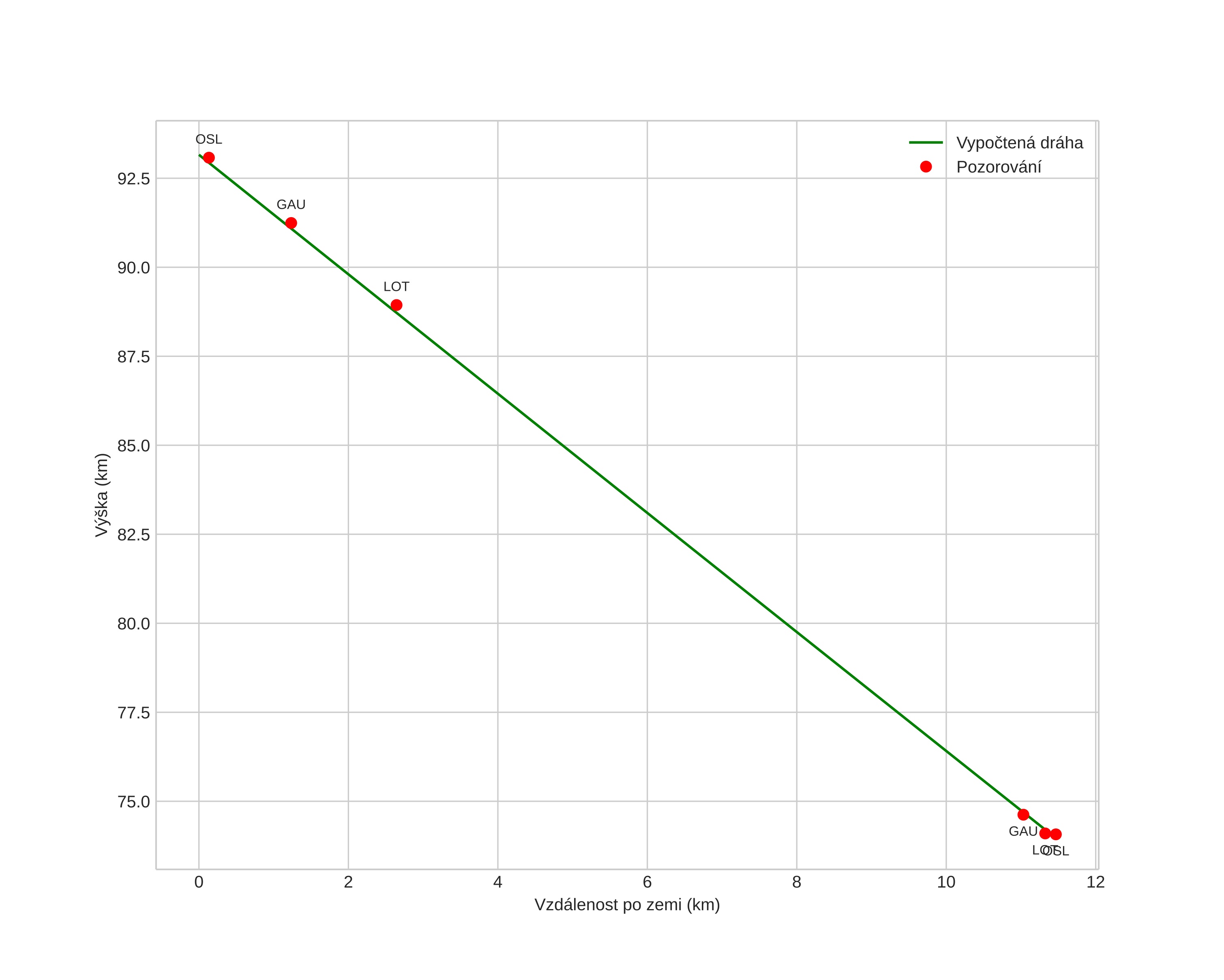
height profile
Atmosférická dráha meteoru:
Počáteční výška: 94,0 km
Konečná výška: 73,1 km
Počáteční poloha: 61,029N 7,190E
Konečná poloha: 61,109N 7,353E
Směr: 44,6°
Sklon: 59,2°
VstupnĂ­ rychlost: 26,5 km/s
Rektascenze radiantu: 14:11 (212,9°)
Deklinace radiantu: 33,6°
MeteorickĂ˝ roj: sporadickĂ˝
Elementy dráhy meteoroidu:
Vzdálenost v periheliu: 0,870 AU
Excentricita: 1,056
Sklon dráhy: 24,8°
Délka vzestupného uzlu: 36,7°
Argument perihelia: 222,6°
Střední anomálie: -0,4°
Epocha: 2025 APR 27 01:12:19
orbit plot

NeinteraktivnĂ­ graf | InteraktivnĂ­ graf

position vs time
speed and acceleration