🇳🇴 🇬🇧 🇩🇪 🇨🇿 🇫🇮

Meteor, poloha: Nesbyen 2025-04-28 22:03:07 UTC

Soubor KML  |  InteraktivnĂ­ mapa

Mapa zobrazuje dráhy meteoru. Světlejší čáry ukazují směry od pozorovacích stanic při objevení se meteoru a tmavší čáry, kde byl naposledy viděn. Modrá šipka značí viditelnou dráhu meteoru.

static map
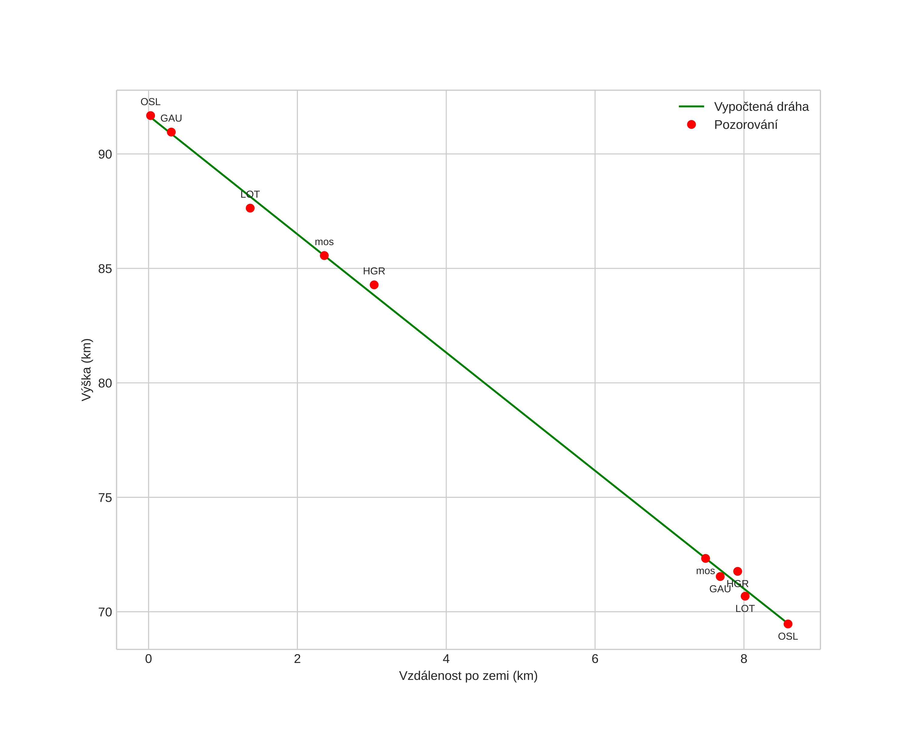
height profile
Atmosférická dráha meteoru:
Počáteční výška: 92,3 km
Konečná výška: 70,6 km
Počáteční poloha: 60,577N 9,162E
Konečná poloha: 60,520N 9,264E
Směr: 138,5°
Sklon: 68,7°
VstupnĂ­ rychlost: 15,5 km/s
Rektascenze radiantu: 09:04 (136,2°)
Deklinace radiantu: 70,1°
MeteorickĂ˝ roj: sporadickĂ˝
Elementy dráhy meteoroidu:
Vzdálenost v periheliu: 1,002 AU
Excentricita: 0,583
Sklon dráhy: 13,0°
Délka vzestupného uzlu: 38,5°
Argument perihelia: 170,2°
Střední anomálie: 2,1°
Epocha: 2025 APR 28 22:03:07
orbit plot

NeinteraktivnĂ­ graf | InteraktivnĂ­ graf

position vs time
speed and acceleration