🇳🇴 🇬🇧 🇩🇪 🇨🇿 🇫🇮

Meteor, poloha: Ă…motfors 2025-04-29 00:11:57 UTC

Soubor KML  |  InteraktivnĂ­ mapa

Mapa zobrazuje dráhy meteoru. Světlejší čáry ukazují směry od pozorovacích stanic při objevení se meteoru a tmavší čáry, kde byl naposledy viděn. Modrá šipka značí viditelnou dráhu meteoru.

static map
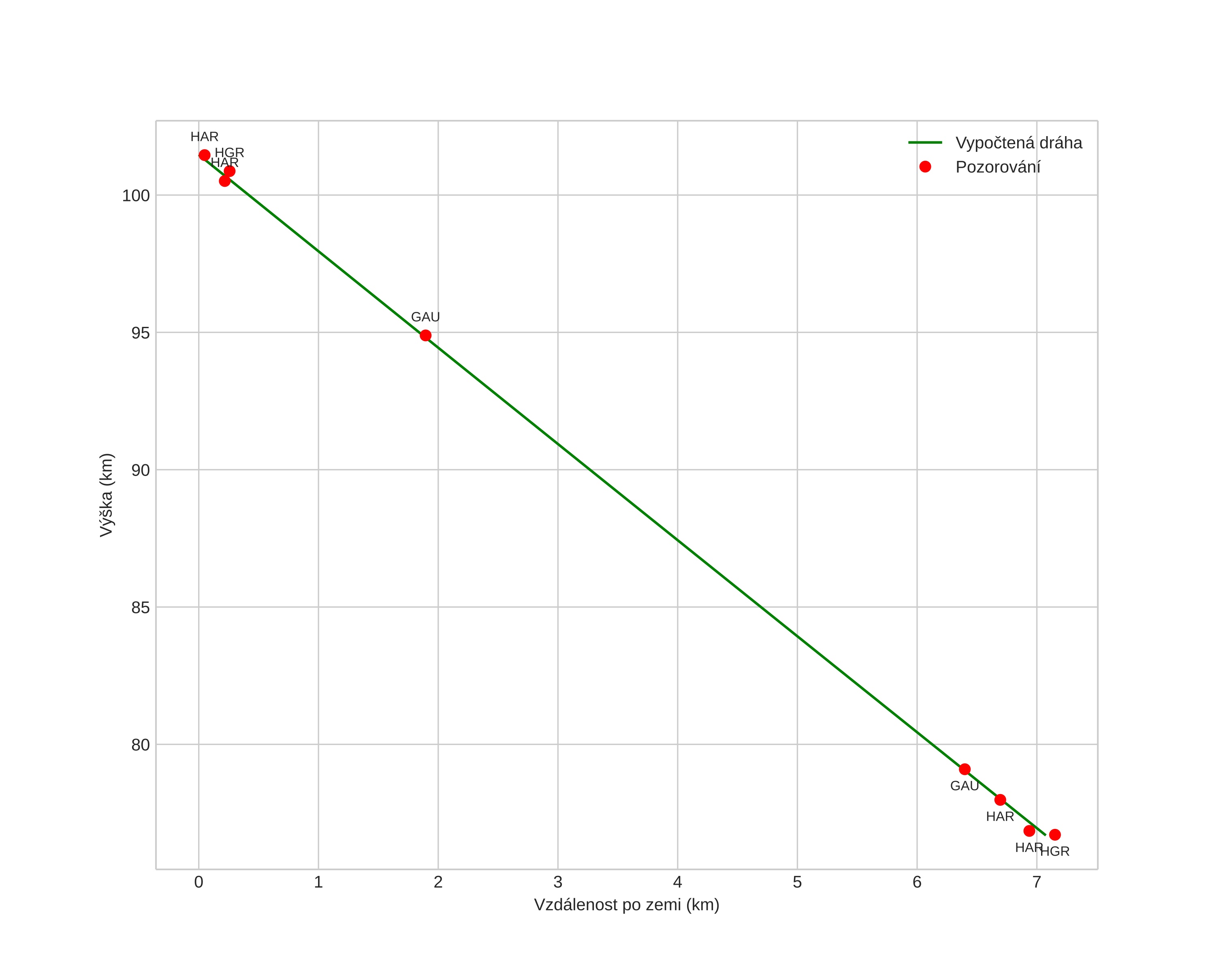
height profile
Atmosférická dráha meteoru:
Počáteční výška: 101,9 km
Konečná výška: 77,2 km
Počáteční poloha: 59,780N 12,541E
Konečná poloha: 59,756N 12,430E
Směr: 246,5°
Sklon: 74,6°
VstupnĂ­ rychlost: 30,6 km/s
Rektascenze radiantu: 17:37 (264,4°)
Deklinace radiantu: 62,5°
MeteorickĂ˝ roj: sporadickĂ˝
Elementy dráhy meteoroidu:
Vzdálenost v periheliu: 1,005 AU
Excentricita: 0,864
Sklon dráhy: 44,6°
Délka vzestupného uzlu: 38,6°
Argument perihelia: 185,4°
Střední anomálie: 359,8°
Epocha: 2025 APR 29 00:11:57
orbit plot

NeinteraktivnĂ­ graf | InteraktivnĂ­ graf

position vs time
speed and acceleration