🇳🇴 🇬🇧 🇩🇪 🇨🇿 🇫🇮

Meteor, poloha: Kviteseid 2025-04-29 00:20:20 UTC

Soubor KML  |  InteraktivnĂ­ mapa

Mapa zobrazuje dráhy meteoru. Světlejší čáry ukazují směry od pozorovacích stanic při objevení se meteoru a tmavší čáry, kde byl naposledy viděn. Modrá šipka značí viditelnou dráhu meteoru.

static map
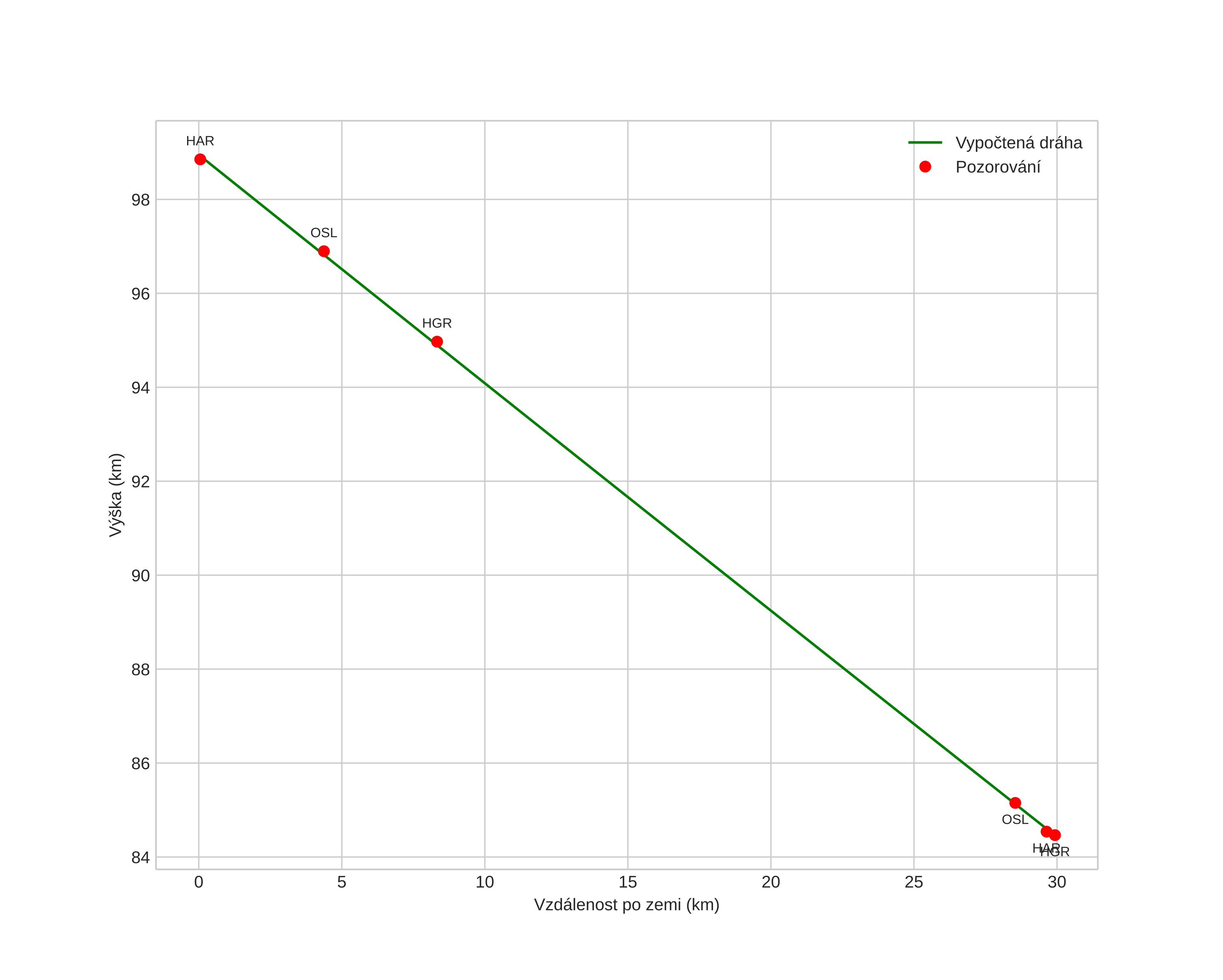
height profile
Atmosférická dráha meteoru:
Počáteční výška: 99,8 km
Konečná výška: 84,0 km
Počáteční poloha: 58,962N 8,274E
Konečná poloha: 59,248N 8,331E
Směr: 5,9°
Sklon: 26,4°
VstupnĂ­ rychlost: 32,6 km/s
Rektascenze radiantu: 14:57 (224,3°)
Deklinace radiantu: -6,6°
MeteorickĂ˝ roj: sporadickĂ˝
Elementy dráhy meteoroidu:
Vzdálenost v periheliu: 0,442 AU
Excentricita: 0,931
Sklon dráhy: 11,0°
Délka vzestupného uzlu: 38,6°
Argument perihelia: 279,4°
Střední anomálie: 357,5°
Epocha: 2025 APR 29 00:20:20
orbit plot

NeinteraktivnĂ­ graf | InteraktivnĂ­ graf

position vs time
speed and acceleration