🇳🇴 🇬🇧 🇩🇪 🇨🇿 🇫🇮

Meteor, poloha: Stavern 2025-04-29 00:43:17 UTC

Soubor KML  |  InteraktivnĂ­ mapa

Mapa zobrazuje dráhy meteoru. Světlejší čáry ukazují směry od pozorovacích stanic při objevení se meteoru a tmavší čáry, kde byl naposledy viděn. Modrá šipka značí viditelnou dráhu meteoru.

static map
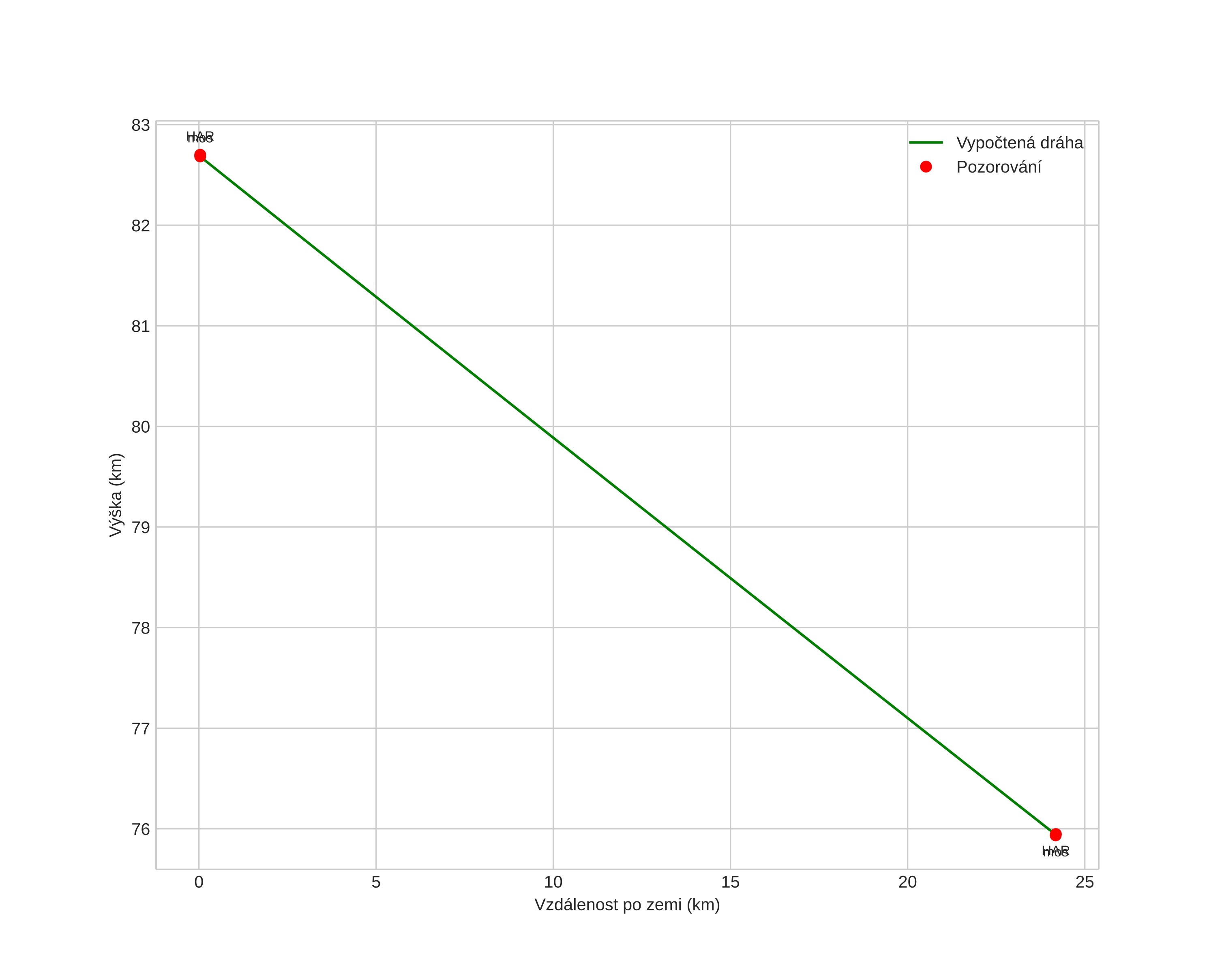
height profile
Atmosférická dráha meteoru:
Počáteční výška: 86,7 km
Konečná výška: 77,3 km
Počáteční poloha: 58,906N 10,278E
Konečná poloha: 58,692N 10,300E
Směr: 176,9°
Sklon: 21,6°
VstupnĂ­ rychlost: 16,9 km/s
Rektascenze radiantu: 04:12 (63,1°)
Deklinace radiantu: 41,6°
MeteorickĂ˝ roj: sporadickĂ˝
Elementy dráhy meteoroidu:
Vzdálenost v periheliu: 0,899 AU
Excentricita: 0,636
Sklon dráhy: 7,0°
Délka vzestupného uzlu: 38,6°
Argument perihelia: 136,4°
Střední anomálie: 8,1°
Epocha: 2025 APR 29 00:43:17
orbit plot

NeinteraktivnĂ­ graf | InteraktivnĂ­ graf

position vs time
speed and acceleration