🇳🇴 🇬🇧 🇩🇪 🇨🇿 🇫🇮

Meteor, poloha: Grua 2025-04-29 01:22:42 UTC

Soubor KML  |  InteraktivnĂ­ mapa

Mapa zobrazuje dráhy meteoru. Světlejší čáry ukazují směry od pozorovacích stanic při objevení se meteoru a tmavší čáry, kde byl naposledy viděn. Modrá šipka značí viditelnou dráhu meteoru.

static map
height profile
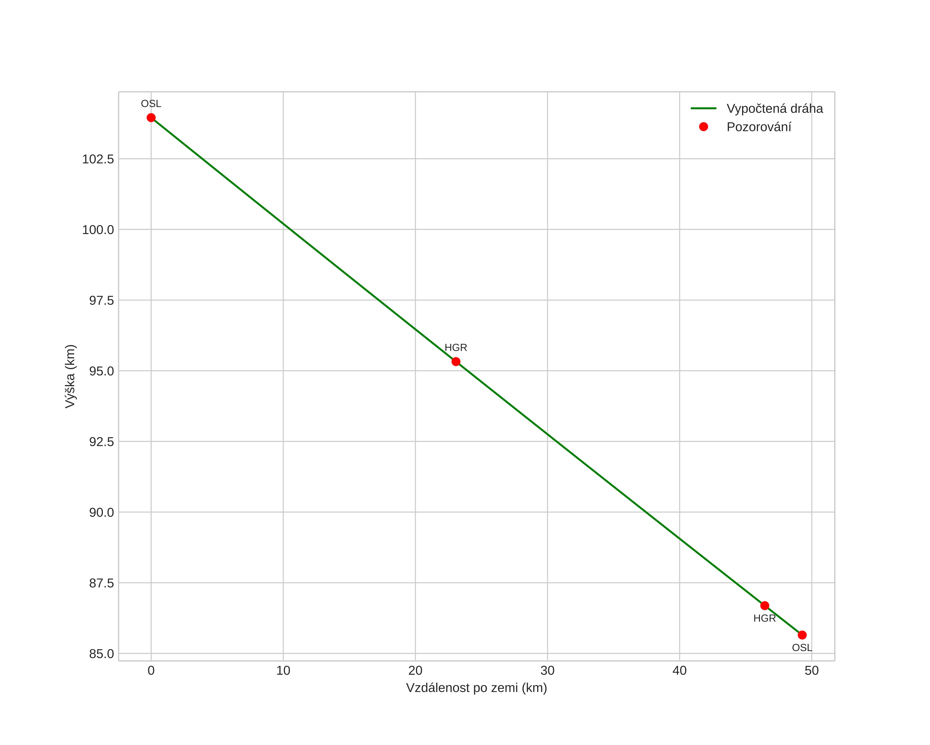
Atmosférická dráha meteoru:
Počáteční výška: 103,9 km
Konečná výška: 85,6 km
Počáteční poloha: 60,765N 11,316E
Konečná poloha: 60,391N 10,831E
Směr: 212,7°
Sklon: 20,3°
VstupnĂ­ rychlost: 29,8 km/s
Rektascenze radiantu: 01:45 (26,3°)
Deklinace radiantu: 40,8°
MeteorickĂ˝ roj: sporadickĂ˝
Elementy dráhy meteoroidu:
Vzdálenost v periheliu: 0,630 AU
Excentricita: 0,947
Sklon dráhy: 23,1°
Délka vzestupného uzlu: 38,6°
Argument perihelia: 103,3°
Střední anomálie: 1,0°
Epocha: 2025 APR 29 01:22:42
orbit plot

NeinteraktivnĂ­ graf | InteraktivnĂ­ graf

position vs time
speed and acceleration