🇳🇴 🇬🇧 🇩🇪 🇨🇿 🇫🇮

Meteor, poloha: Fyresdal 2025-05-03 00:35:32 UTC

Soubor KML  |  InteraktivnĂ­ mapa

Mapa zobrazuje dráhy meteoru. Světlejší čáry ukazují směry od pozorovacích stanic při objevení se meteoru a tmavší čáry, kde byl naposledy viděn. Modrá šipka značí viditelnou dráhu meteoru.

static map
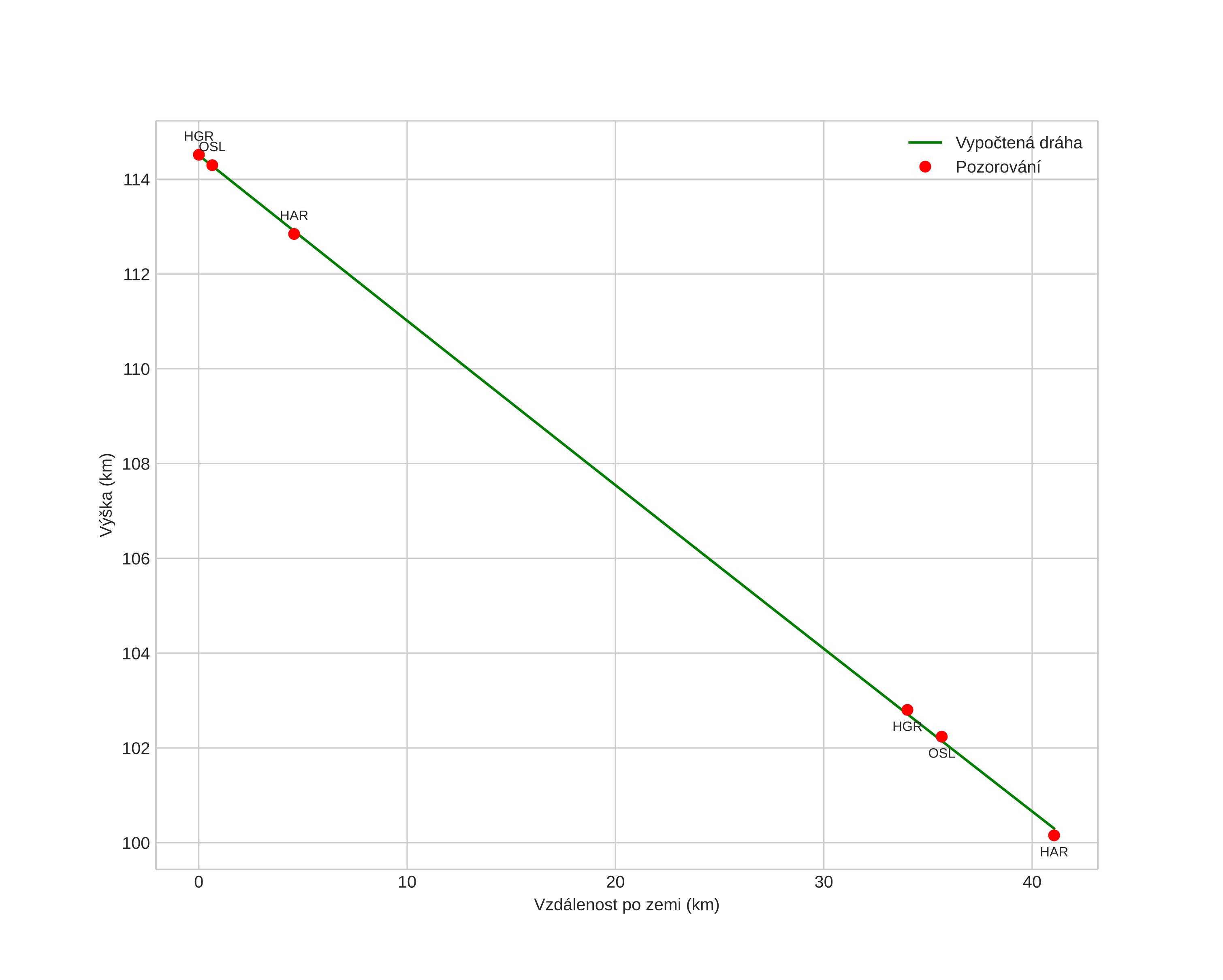
height profile
Atmosférická dráha meteoru:
Počáteční výška: 116,7 km
Konečná výška: 98,0 km
Počáteční poloha: 59,027N 8,726E
Konečná poloha: 59,241N 7,876E
Směr: 296,4°
Sklon: 19,1°
VstupnĂ­ rychlost: 66,3 km/s
Rektascenze radiantu: 19:46 (296,5°)
Deklinace radiantu: 3,1°
MeteorickĂ˝ roj: sporadickĂ˝
Elementy dráhy meteoroidu:
Vzdálenost v periheliu: 0,898 AU
Excentricita: 0,923
Sklon dráhy: 137,1°
Délka vzestupného uzlu: 42,5°
Argument perihelia: 219,5°
Střední anomálie: 359,3°
Epocha: 2025 MAY 03 00:35:32
orbit plot

NeinteraktivnĂ­ graf | InteraktivnĂ­ graf

position vs time
speed and acceleration

Voksenlia (OSL) cam3


gnomonic
Videa
• Gnomonická
• Gnomonická se souřadnicemi
• Původní
• Původní se souřadnicemi
Obrázky
• Gnomonická
• Gnomonická se souřadnicemi
• Gnomonická s popisky
• Původní
• Původní se souřadnicemi
Textové soubory
• Detekce
• Pozorování
• Souřadnice
• Protokol
Jasnost