🇳🇴 🇬🇧 🇩🇪 🇨🇿 🇫🇮

Meteor, poloha: Arvika 2025-07-22 23:39:27 UTC

Soubor KML  |  Interaktivní mapa

Mapa zobrazuje dráhy meteoru. Světlejší čáry ukazují směry od pozorovacích stanic při objevení se meteoru a tmavší čáry, kde byl naposledy viděn. Modrá šipka značí viditelnou dráhu meteoru.

static map
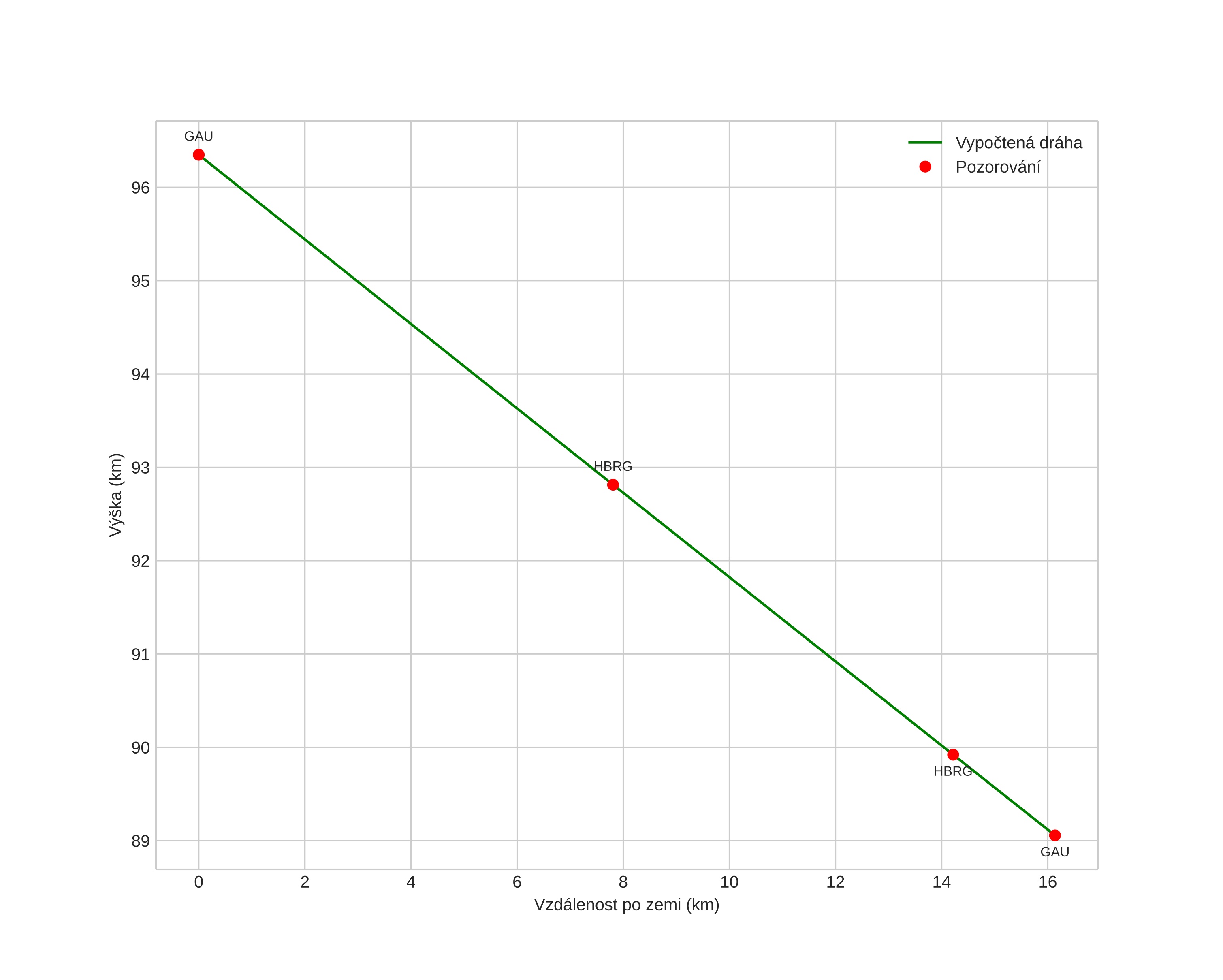
height profile
Atmosférická dráha meteoru:
Počáteční výška: 95,9 km
Konečná výška: 88,0 km
Počáteční poloha: 59,741N 12,917E
Konečná poloha: 59,861N 12,713E
Směr: 319,4°
Sklon: 24,2°
Vstupní rychlost: 52,7 km/s
Rektascenze radiantu: 22:58 (344,7°)
Deklinace radiantu: -0,7°
Meteorický roj: sporadický
Elementy dráhy meteoroidu:
Vzdálenost v periheliu: 0,044 AU
Excentricita: 0,981
Sklon dráhy: 146,3°
Délka vzestupného uzlu: 120,0°
Argument perihelia: 338,7°
Střední anomálie: 351,0°
Epocha: 2025 JUL 22 23:39:27
orbit plot

Neinteraktivní graf | Interaktivní graf

position vs time
speed and acceleration